2024학년도 수능 수학 미적분 29번의 자세한 해설과 분석을 원하시나요? 이 포스팅은 자세한 해설영상과 더불어 문제 평가 및 심층 분석을 담고 있으니 확인해보시기 바랍니다.

LYC-MATH는 온라인 수업을 기반으로하야 전국의 수험생들을 대상으로 100% 커스터마이징된 첨삭 서비스를 제공합니다. 어디에 질문해야할지 몰랐던 디테일한 질문들, 정확히 내가 궁금한 부분을 긁어줄 수 있는 포인트 강의를 고객님과의 상담을 통해 제공해드리고 있습니다. 글 가장 하단에 카카오톡 문의 채널이 있으니 부담없이 문의주세요!
≣ Contents
2024학년도 수능 수학 미적분 29번
문제 소개 - 2024학년도 수능 수학 미적분 29번

- 출제 범위 및 단원 : 미적분 등비급수
- 문제 닌이도 : 중
- 문제에서 요구하는 교과 개념 : 등비급수 공식, 수렴 조건 및 절댓값에 대한 개념
문제 해설 - 2024학년도 수능 수학 미적분 29번



포인트 1. 식으로 직접 계산
이 문제는 두 개의 포인트가 있습니다. 그 중 첫 번째가 식으로 직접 계산한다는 점입니다. 이런 유형의 문제를 못 푼 친구들이 해설을 보고 나면 항상 하는 얘기가 있습니다.뭐야~ 별거 아니었네? 그 별거 아니네라는 말이 그냥 계산만 주구장창 하면 되는 문제였네~ 라는 것입니다.
그런데 현장에서 학생들을 관찰하는 선생님 입장에서는 바로 이 부분이 이 문제의 포인트입니다. 미지수를 직접 두면서 식으로 두고 푸느냐 못푸느냐가 이 문제를 맞히냐 못맞히냐로 직결되는 것이기 때문에 그렇게 간단하게 무마할 부분이 아닙니다.
학생들 입장에서는 이 유형의 문제는 나온다면 앞으로 식으로 두고 풀 수 있도록 훈련해야 하는 것입니다. 그때도 마찬가지로 식으로 두고 풀지 못 한 다음, 또 똑같이 풀이를 보고 나서야 뭐야~ 별거 아니었네~ 라고 생각하면 큰 오산이라는 점입니다.
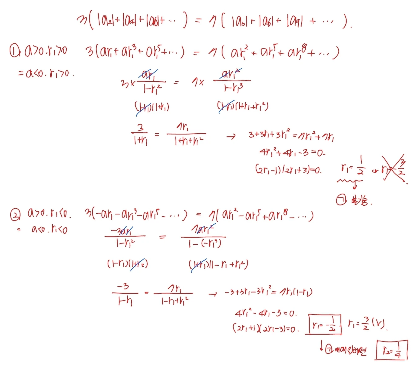
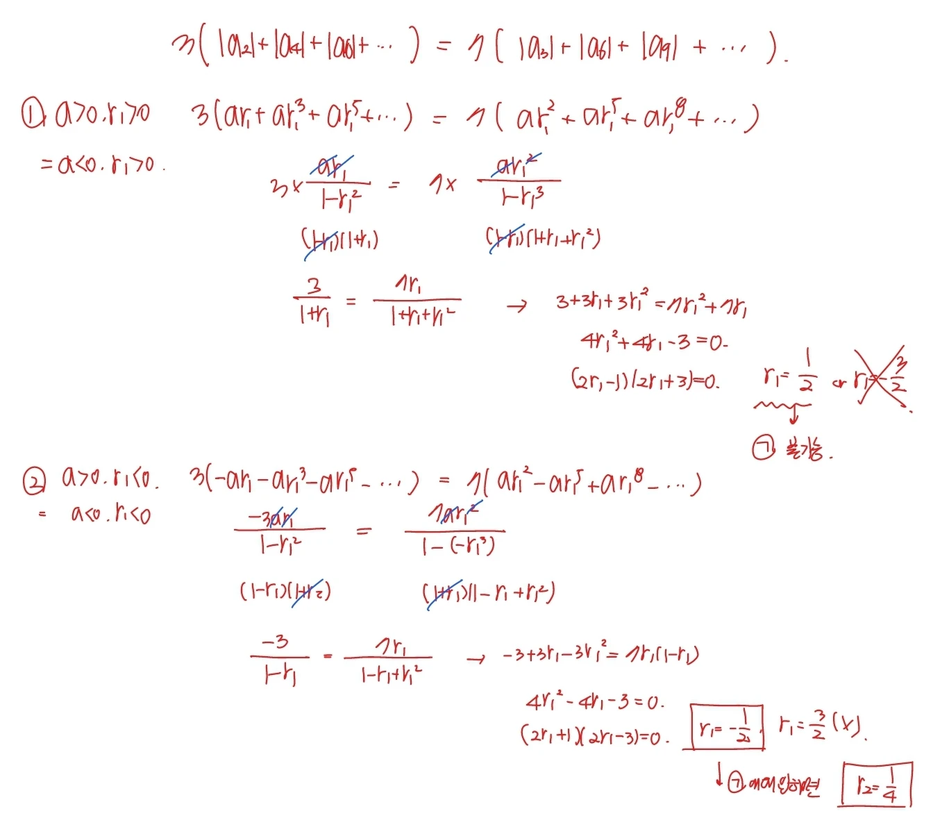
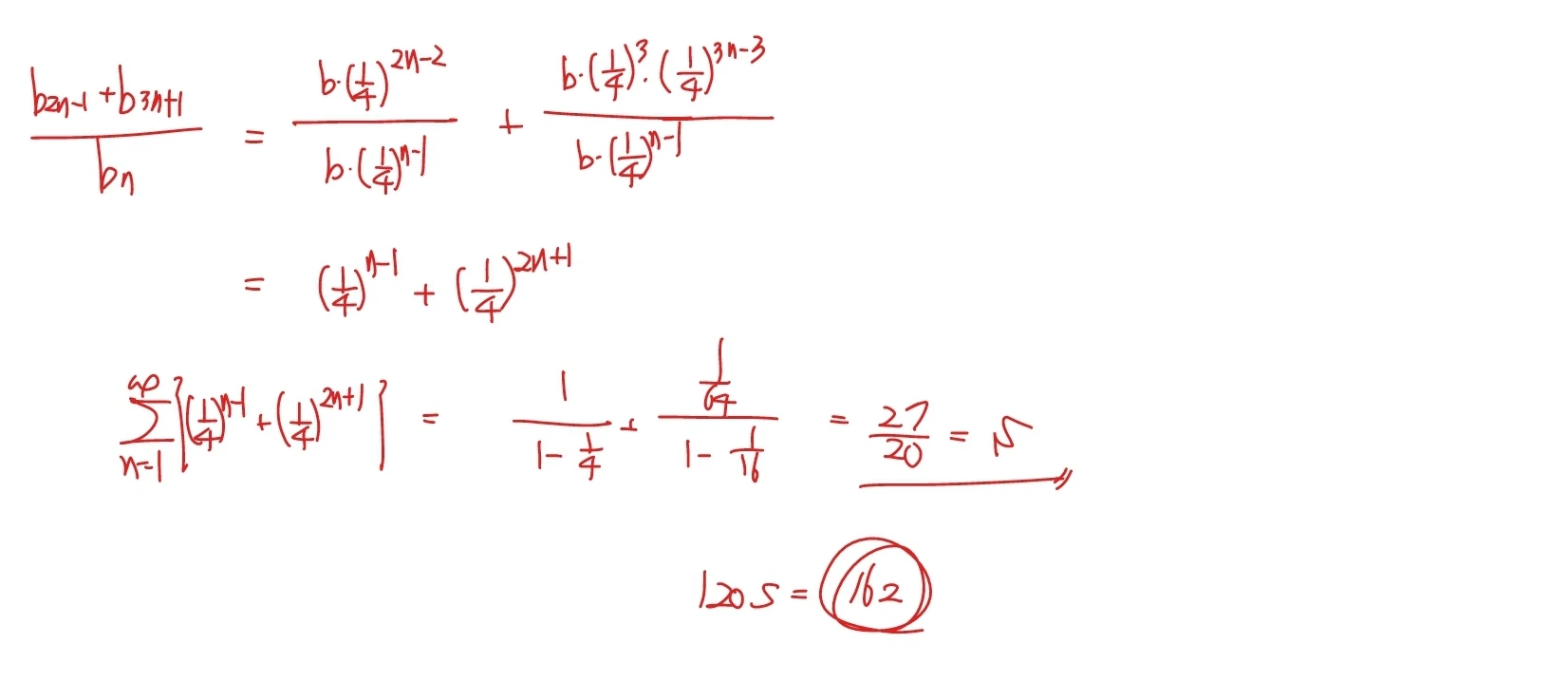
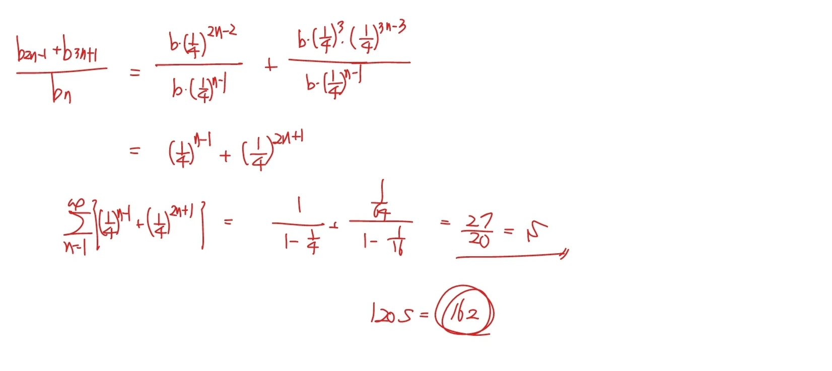
등비급수 문제인데, 급수의 값들이 나오는 문제는 이렇게 미지수로 일일이 두고 푼다.
지금 문제 유형처럼 등비급수 문제인데, 구체적인 식들이, 특히 급수의 계산값들이 주어지는 형태라면, 반드시 미지수를 일일이 두고 식으로 풀어야겠다는 생각을 해야합니다.
포인트 2. 절댓값
이 문제의 두 번째 포인트는 절댓값입니다. 사실 수능을 준비하는 학생들 입장에서는 절댓값이라는 것에 거부감이 들어서는 안됩니다. 아직 학년이 어리거나, 준비가 덜 된 상태의 수험생이라면 절댓값이 아직 부담스러울 수 있겠지만, 정상적인 수험생 입장에서는 절댓값은 이미 머리속에 메뉴얼이 딱 박혀 있어야 합니다.
이 문제를 못 푸는 학생들의 대부분은 절댓값 표현에서 어찌할 바를 모르고 못 풀었을 것입니다. 그 외에 많은 학생들이 미지수로 두고 직접 풀겠다는 생각을 못하여 시작도 못하고 못 풀었을 것이구요.
절댓값은 부호 판단이 핵심이다. 부호를 판단할 만한 정보를 찾거나, 경우를 스스로 나눠라.
절댓값은 위에 적은 개념이 다이고, 이것이 절댓값의 본질입니다. 절댓값은 중1때 처음 배우는데.. 그 때 어떻게 배우냐에 따라서 절댓값을 다루는 태도가 많이 달라지긴 합니다. 어쨋든 수험생 입장에서는 위에 적어드린 개념이 절댓값의 개념이라고 생각하면 됩니다.
그래서 이 문제는 위에 소개해드린 두 가지 포인트가 잡는다면, 풀이 자체는 어려운 문제가 아니라고 생각합니다.
해설 영상
위에 글들을 통해서 2024학년도 수능 수학 미적분 29번의 손풀이 사진과 주요 개념들을 텍스트로 전달해드렸습니다. 하지만 역시나 수학은 해설 포스팅에 해설 영상이 빠질 수는 없겠지요. 그래도 부디 위에서 제가 전달하고자 하는 내용들을 텍스트로 먼저 학습하시고 해설 영상을 보시길 바랍니다. 공부의 효과가 두 배는 더 있을 것이라 확신합니다.
또한 이 해의 킬러 문제인
2024학년도 수능 미적분 28번 해설 과 작년 기출인
2025학년도 고3 수능 수학 미적분 29번 해설 도 관심이 있으실 것이라 생각하기에 링크를 남겨둡니다. 필요하신 분은 클릭하시고 각각의 문항의 자세한 해설을 찾아보실 수 있습니다.
LYC-MATH-HWW 서비스 소개
LYC-MATH_HWW는 현장에서 16년간 중고등학생들과 소통하며 강의를 해온 수학 강사입니다. 이제는 단순히 수학이라는 지식을 전달하는 것을 넘어서 수학을 어떻게 공부해야하는지, 수학을 어떻게 가르쳐야 하는지를 강의하고 있습니다. 또한 다년간의 빅데이터를 바탕으로 학생들이 A의 상황에서 어떤 생각을 가지고 있는지 그 뿌리부터 이해하여 근본적인 솔루션을 제공하고 있습니다. 아래는 LYC-MATH가 제공하는 서비스 목록입니다.
1. 100% 커스터마이징 온라인 첨삭.
수학을 공부하며 도움이 필요한 모든 개개인의 사항에 대하여 고객맞춤의 도움을 드리고 있습니다. 서비스는 온라인으로 진행되며, 실시간 온라인 소통 방식 또는 요청하신 내용의 강의 제작 방식으로 진행할 수 있습니다.
2. 수학 공부법 개인 첨삭
현장에서 강의를 하다보면 정말 많은 학생들이 열심히 해도 잘 할 수 없는 방식으로 공부하고 있는 것을 볼 수 있습니다. 수학은 정확히 공부하는, 그리고 생각하는 방법이 있으며, 그 방식으로 반복 훈련하면 금방 습관화시키고 자연스럽게 터득하게 됩니다. 학습자의 상황에 맞춰서 개선해야 하는 부분을 제시하고, 그 부분을 습관화시키기까지 서비스를 진행합니다.
3. 온라인 개인 과외
중고등 학생을 대상으로 필요한 과정에 대한 개인 과외도 진행하고 있습니다.
아래 유튜브 채널 링크를 통해서 운영중인 채널에 올라와 있는 다양한 강의들을 찾아보실 수 있습니다.
또한 네이버 블로그에서 학생들이 남겨진 강의 후기, 공부법 강의 후기 등을 찾아보실 수 있습니다.
또한 기타 궁금하신 사항은 카카오톡 오픈 채팅을 통해서 상담 도와드리고 있으니 편하게 문의 주시면 감사하겠습니다.
| lyc-math 유튜브 채널 | lyc-math 네이버 블로그 | 카카오톡 오픈 채팅 |
![]() |
![]() |
![]() |
'수능 및 평가원 모의평가 기출 해설 > 2025학년도 수능 수학' 카테고리의 다른 글
| 2026학년도 6월 평가원 모의고사 수학 14번 해설 (4) | 2025.06.24 |
|---|---|
| 2026학년도 6월 평가원 모의고사 수학 12번, 13번 해설 (3) | 2025.06.20 |
| 2026학년도 6월 평가원 모의고사 수학 9번 ~ 11번 해설 (2) | 2025.06.16 |
| 2024학년도 수능 미적분 30번 해설 (0) | 2025.04.24 |
| 2024학년도 수능 미적분 28번 해설 (0) | 2025.04.17 |
| 2024학년도 수능 미적분 27번 해설 (0) | 2025.04.15 |
| 2024학년도 수능 수학 확률과 통계 29번, 30번 해설 (0) | 2025.04.08 |
| 2024학년도 고3 수능 수학 확률과 통계 27번, 28번 해설 (0) | 2025.04.04 |


