2024학년도 수능 미적분 27번의 자세한 해설과 분석을 원하시나요? 이 포스팅은 자세한 해설영상과 더불어 문제 평가 및 심층 분석을 담고 있으니 확인해보시기 바랍니다.

LYC-MATH는 온라인 수업을 기반으로하야 전국의 수험생들을 대상으로 100% 커스터마이징된 첨삭 서비스를 제공합니다. 어디에 질문해야할지 몰랐던 디테일한 질문들, 정확히 내가 궁금한 부분을 긁어줄 수 있는 포인트 강의를 고객님과의 상담을 통해 제공해드리고 있습니다. 글 가장 하단에 카카오톡 문의 채널이 있으니 부담없이 문의주세요!
≣ Contents
2024학년도 수능 미적분 27번
문제 소개 - 2024학년도 수능 미적분 27번

- 출제 범위 및 단원 : 미적분 음함수의 미분
- 문제 닌이도 : 중
- 문제에서 요구하는 교과 개념 : 음함수 미분법에 대한 개념과 응용
문제 해설 - 2024학년도 수능 미적분 27번


포인트 1. 음함수 미분법이 무엇인지 알고 있나??
기본서와 문제집에서 배우는 수준과 수능에서 요구하는 개념 중에서 유독 차이가 큰 개념이 이 개념입니다. 음함수 미분법은 사실 기본서에서 배우는 수준에서는 뭔진 몰라도 그냥 그렇게 따라하면 답이 나오니까 별 문제가 없는 경우가 많습니다.
다만 왜 그렇게 하는지, 그 개념을 깊숙이 이해하지 않고 단순한 문제의 답만 내는 방식으로 공부했다면 수능에서 요구하는 이런 수준의 문제는 이 문제가 음함수 미분법인지 조차 모르고 못 풀 가능성이 높습니다.
y를 x에 대한 함수로 본다.
일단 음함수라는 것이 무엇인지부터 명확히 해야 합니다. 우리는 중학생때부터 함수라는 것을 y=으로 정리된 형태로 접하게 됩니다. 그래서 y=으로 정리가 되어있는 것이 함수라고 생각하게 되고, 고1때 공부를 제대로 한다면 원은 함수가 아니라 방정식이라고 배우면서 그 차이를 더 학습하게 됩니다.
그래서 함수라는 것은 y=으로 정리된 형태만 다루다 보니 y=으로 정리를 할 수 없다면 함수가 아니라고 생각하는 오해가 생길 수 있습니다. 여기서 음함수라는 것과 양함수라는 것의 차이가 발생합니다.
양함수라는 것은 y=으로 정리가 되어 있는, 혹은 정리룰 할 수 있는 함수를 뜻합니다. 그런데 모든 함수가 y=으로 정리할 수 있다고 장담할 수 없습니다. 또한 할 수 있다 하더라도 사람의 손으로 정리를 할 수 있을지도 모를 일입니다. 그리고 마지막으로, 그것을 굳이 정리를 해야만 하는가? 하는 필요성에 대해서도 의문이 생기는 것입니다.
그래서 음함수 라는 개념이 만들어지는 것입니다. '내가 이것을 y=으로 정리를 할 수는 없지만, 내가 못하는 것이지 어쨌든 정리를 할 수 있는 것이라면, y를 x에 대한 함수로 볼 수 있다.' 이것이 음함수의 개념입니다.
포인트 2. 주변수와 보조변수에 대한 파악
그래서 이제 음함수라는 것이 무엇인지 알았다면 이런 문제를 풀 수 있느냐? 아닙니다. 아직 개념이 더 필요합니다. 다만 여러분은 이제 y를 x에 대한 함수로 본다는 것이 대충이라도 어떤 개념인지 알게 된 것입니다.
이런 유형의 문제는 위에 그림에서 파랑색으로 정리해둔 형태로 출제됩니다. 여기서 '주변수'라고 부르는 변수는 문제에서 분명히 등장합니다. 지금 문제의 경우는 t입니다. t가 주변수로서 문제에서 직접 언급하고, t에 따라 변하는 무언가를 얘기하고 있습니다.
그럼 주변수 이외의 보조변수라는 것은 무엇인가? 이 보조변수는 문제에서 언급을 할 수도 있고, 안 할수도 있습니다. 문제에서 언급을 따로 하는 경우는 주변수와 보조변수 사이의 관계가 그나마 눈에 보이기 때문에 간단하게 접근할 수 있습니다.
주변수와 보조변수의 이해가 핵심이다.
다만 이 문제처럼 보조변수에 대한 언급이 없다면 이제 문제를 푸는 사람이 그 보조변수를 직접 설정해야 합니다. 다행스럽게도 이 문제의 보조변수는 수험생이라면 모두 익숙할만한 상황에서 사용되는 변수입니다.
외부의 점에서 그은 접선의 경우는 접점의 좌표를 설정하면서 문제를 접근하게 되니, 정확히 어떻게 푸는 것인지 모르더라도 아마 접점의 좌표를 설정은 했을 것입니다. 그 접점의 좌표가 바로 보조변수가 되는 것입니다.
포인트 3. m이 아니라 m(t)로 볼 수 있어야 한다.
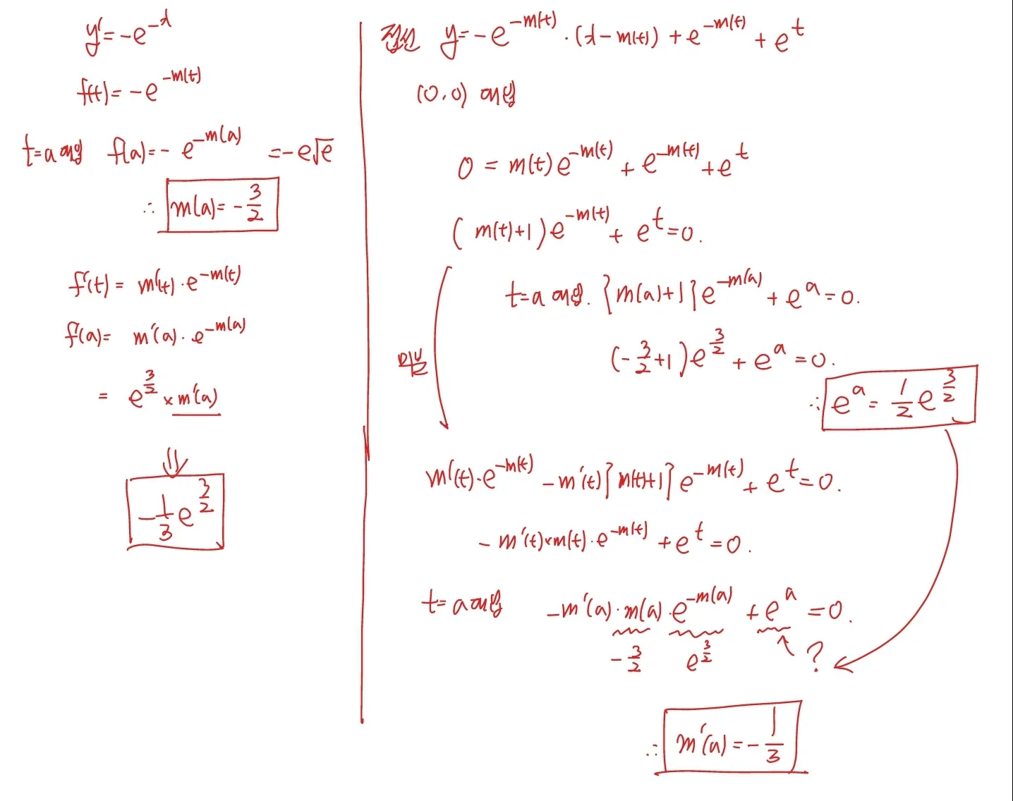
그럼 위에서 설명한 포인트1과 지금 상황을 연결해보도록 하겠습니다. 포인트1에서 'y를 x에 대한 함수로 보고'가 핵심이라고 말씀드렸습니다. 그럼 이제 이 문제에서는 원점에서 그은 접선의 접점의 좌표를 m이라고 설정했다고 가정하겠습니다.
이때 이것을 m이 아니라 m(t)라고 보는 개념, 그것이 이 문제의 핵심입니다. 이렇게만 볼 수 있다면, 그 이후로는 사실 문제 의식의 흐름대로 흘러가도 이것이 필요하니까 대입을 하고, 저것이 필요하니까 미분을 하고로 흘러갈 수 있습니다.
지금 문제에서 제시된 그래프는 t에 따라서 그 그래프의 위치가 바뀝니다. 그럼 당연히 원점에서 그었을 때의 접선 또한 바뀌고, 접점의 좌표 또한 변합니다. 즉, t가 변하면 접점의 좌표가 변합니다. 이런 상황을 m이 t에 대한 함수임을 인식하는 과정입니다.
즉, m은 단순히 독립변수가 아니라, t에 따라서 변하는 변수라는 것입니다.
m이 아니라 m(t)라고 볼 수 있어야, 후속 풀이가 가능하다.
많은 수험생들이 이런 문제에 있어서 접점의 좌표는 표현을 하고 그 이후에 막혔을 것입니다. 접점의 좌표를 m이라고 설정했다면 f(t)=-e^-m 으로 표현했을텐데, 그 이후에 미분을 t에 대하여 하려고 해도 변수에 t가 없고 m만 있기 때문에 더 진행하기에 손이 안가는 사태가 벌어집니다.
그래서 보조변수인 m을 주변수 t에 대한 함수라는 의미로서 m(t)라고 볼 수 있다면, 그 이후의 풀이는 자연스러워질 것이니, 이 점을 숙지하시지 바랍니다. 이것이 숙지되면 그 이후로는 귀찮게 m(t)라고 (t)를 쓰지 않고 접근할 수 있습니다. 우리가 보통 보게 되는 해설지에는 이런 개념이 녹아있기 때문에 굳이 m(t)라고 쓰지 않는 것입니다.
해설 영상
위에 글들을 통해서 2024학년도 수능 미적분 27번의 손풀이 사진과 주요 개념들을 텍스트로 전달해드렸습니다. 하지만 역시나 수학은 해설 포스팅에 해설 영상이 빠질 수는 없겠지요. 그래도 부디 위에서 제가 전달하고자 하는 내용들을 텍스트로 먼저 학습하시고 해설 영상을 보시길 바랍니다. 공부의 효과가 두 배는 더 있을 것이라 확신합니다.
또한 2025학년도 고3 수능 수학 미적분 27번 해설 도 관심이 있으실 것이라 생각하기에 링크를 남겨둡니다. 필요하신 분은 클릭하시고 각각의 문항의 자세한 해설을 찾아보실 수 있습니다.
LYC-MATH-HWW 서비스 소개
LYC-MATH_HWW는 현장에서 16년간 중고등학생들과 소통하며 강의를 해온 수학 강사입니다. 이제는 단순히 수학이라는 지식을 전달하는 것을 넘어서 수학을 어떻게 공부해야하는지, 수학을 어떻게 가르쳐야 하는지를 강의하고 있습니다. 또한 다년간의 빅데이터를 바탕으로 학생들이 A의 상황에서 어떤 생각을 가지고 있는지 그 뿌리부터 이해하여 근본적인 솔루션을 제공하고 있습니다. 아래는 LYC-MATH가 제공하는 서비스 목록입니다.
1. 100% 커스터마이징 온라인 첨삭.
수학을 공부하며 도움이 필요한 모든 개개인의 사항에 대하여 고객맞춤의 도움을 드리고 있습니다. 서비스는 온라인으로 진행되며, 실시간 온라인 소통 방식 또는 요청하신 내용의 강의 제작 방식으로 진행할 수 있습니다.
2. 수학 공부법 개인 첨삭
현장에서 강의를 하다보면 정말 많은 학생들이 열심히 해도 잘 할 수 없는 방식으로 공부하고 있는 것을 볼 수 있습니다. 수학은 정확히 공부하는, 그리고 생각하는 방법이 있으며, 그 방식으로 반복 훈련하면 금방 습관화시키고 자연스럽게 터득하게 됩니다. 학습자의 상황에 맞춰서 개선해야 하는 부분을 제시하고, 그 부분을 습관화시키기까지 서비스를 진행합니다.
3. 온라인 개인 과외
중고등 학생을 대상으로 필요한 과정에 대한 개인 과외도 진행하고 있습니다.
아래 유튜브 채널 링크를 통해서 운영중인 채널에 올라와 있는 다양한 강의들을 찾아보실 수 있습니다.
또한 네이버 블로그에서 학생들이 남겨진 강의 후기, 공부법 강의 후기 등을 찾아보실 수 있습니다.
또한 기타 궁금하신 사항은 카카오톡 오픈 채팅을 통해서 상담 도와드리고 있으니 편하게 문의 주시면 감사하겠습니다.
| lyc-math 유튜브 채널 | lyc-math 네이버 블로그 | 카카오톡 오픈 채팅 |
![]() |
![]() |
![]() |
'수능 및 평가원 모의평가 기출 해설 > 2025학년도 수능 수학' 카테고리의 다른 글
| 2026학년도 6월 평가원 모의고사 수학 9번 ~ 11번 해설 (2) | 2025.06.16 |
|---|---|
| 2024학년도 수능 미적분 30번 해설 (0) | 2025.04.24 |
| 2024학년도 수능 수학 미적분 29번 해설 (0) | 2025.04.22 |
| 2024학년도 수능 미적분 28번 해설 (0) | 2025.04.17 |
| 2024학년도 수능 수학 확률과 통계 29번, 30번 해설 (0) | 2025.04.08 |
| 2024학년도 고3 수능 수학 확률과 통계 27번, 28번 해설 (0) | 2025.04.04 |
| 2024학년도 고3 수능 수학 22번 해설 (0) | 2025.04.01 |
| 2024학년도 고3 수능 수학 21번 해설 (0) | 2025.03.28 |


