≣ Contents

LYC-MATH는 온라인 수업을 기반으로하야 전국의 수험생들을 대상으로 100% 커스터마이징된 첨삭 서비스를 제공합니다. 어디에 질문해야할지 몰랐던 디테일한 질문들, 정확히 내가 궁금한 부분을 긁어줄 수 있는 포인트 강의를 고객님과의 상담을 통해 제공해드리고 있습니다. 글 가장 하단에 카카오톡 문의 채널이 있으니 부담없이 문의주세요!
2024학년도 고3 수능 확률과 통계 27번
문제 소개 - 2024학년도 고3 수능 확률과 통계 27번

- 출제 범위 및 단원 : 확률과 통계 모평균의 추정
- 문제 닌이도 : 하
- 문제에서 요구하는 교과 개념 : 모평균의 추정에서신뢰구간 공식의 활용
문제 해설 - 2024학년도 고3 수능 확률과 통계 27번

포인트 1. 신뢰구간 공식은 단순히 암기만 한다고 끝이 아니다.
문제 자체는 아주 간단한 문제입니다. 사실 제가 이 글에서 강조하고자 하는 개념은 몰라서 문제를 풀어서 답을 내는 것에는 아무런 지장이 없을 정도입니다. 3점 답게 아주 간단한 문제이지요. 하지만, 이런 간단함 속에서 그래서 하나라도 얻어갈 것이 있다면 얻어갈 수 있는 것이 공부의 본질이라고 생각합니다.
이 문제는 신뢰구간 공식에서 양 끝에 있는 값의 차가 신뢰구간의 길이라는 것은 이미 알고 있을 겁니다. 그치만 많은 학생들이 놓치고 있는 부분은 양 끝에 있는 값의 합도 나름의 의미를 갖는다는 점입니다. 바로 표본평균의 2배에 해당하는 값이 결론입니다.
신뢰구간 공식에서 양 끝 값의 합은 2표본평균이다.
이 두 가지 공식을 사용하면 문제를 풀어가는 과정이 더 단순해집니다. 위에 풀이에 보이는 것 처럼 일단 6/5a-a의 값을 이용하여 가볍게 a를 구할 수 있으며, 이제 a를 안다는 것은 구간의 양 끝 값을 모두 알고 있는 상태이므로 표본평균도 바로 값을 알 수 있음을 알아야 합니다. 두 값의 합을 구해서 바로 표본평균의 값을 구할 수 있지요.
포인트 2. 신뢰구간과 관련한 가장 흔한 오해
이 개념은 사실 이 문제의 풀이와는 관련은 없지만, 현장에서 학생들과 소통하다보면 정말 많이들 오해하고 있는 개념이기 때문에 간단하게만 언급해봅니다. 신뢰도가 95%라는 얘기를 대부분 모평균의 그 구간에 포함되어 있을 확률이 95%라고 알고 있습니다.
잘못된 지식입니다. 신뢰구간을 만든다는 것은 표본을 추출하는 것에서 출발합니다. 표본의 추출은 할 때마다 달라지는 것이므로 첫 번째 추출한 표본에서의 신뢰구간을 만들었을 때와 두 번째 추출한 표본에서 신뢰구간을 만들었을 때는 결과가 다를 수 있습니다. 이렇듯 할 때마다 신뢰구간의 결과는 달라질텐데, 이 때 100번을 하면 95번은 그 구간에 모평균이 포함되어 있다는 의미가 신뢰도가 95%라는 의미입니다.
더불어 신뢰도는 높다고 항상 좋은 것이 아닙니다. 대한민국 남성의 평균기가 100cm에서 200cm 사이에 있다고 추정하면 이 조사의 신뢰도는 100%일 것입니다. 그렇지만 이것은 통계적 자료의 가치로는 0입니다. 너무 당연한 얘기를 하고 있으니까요. 결국 신뢰도가 높다고 마냥 좋은 것은 아니고 그 와중에 신뢰구간의 길이까지 짧아야 좋다고 얘기할 수 있습니다.
2024학년도 고3 수능 확률과 통계 28번
문제 소개 - 2024학년도 고3 수능 확률과 통계 28번

- 출제 범위 및 단원 : 확률과 통계 조건부확률
- 문제 닌이도 : 중하
- 문제에서 요구하는 교과 개념 : 조건부확률의 이해와 같은 것을 포함한 순열의 확률
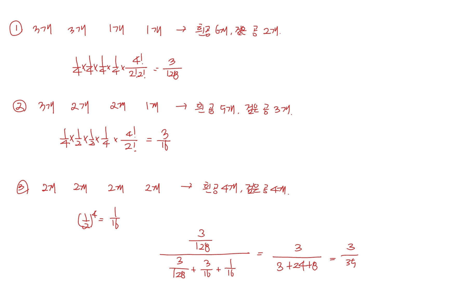
문제 해설 - 2024학년도 고3 수능 확률과 통계 28번

포인트 1. 조건부확률은 알아보는 것이 우선이다.
현장에서 학생들을 가르치다보면 정말 많이 느끼는 것이 있습니다. 바로 이 문제가 조건부확률인지 조차 알아보지 못하는 현상입니다. 그래서 저는 조건부확률에 대해서 강의할 때 일단 기본적인 문제풀이가 가능한 상태가 되면, 그때부터 이 문제가 왜 조건부확률인지 판단하는 연습을 시킵니다.
조건부확률 단원에서 조건부확률 유형을 풀고 있으니까 그냥 아무 생각없이 조건부확률로 계산하고 있지만, 실상 왜 조건부확률인지 따지는 연습이 없으면 실전에서 사용하지 못할 풀이를 연습하고 있는 것입니다.
조건부확률 문제는 아주 명확하게 구성되어 있는 틀이 있습니다.
어떤 사건이 발생했을 때, 그 중 어떤 사건일 확률
이 문항 표현이 조건부확률의 문항 표현입니다. 여기서 대부분의 학생들이 또 하나의 오해를 하고 있을 가능성이 높습니다. '~~~때, ~~~할 확률'이 표현을 보면 조건부확률이라고 생각하는데, 이러면 두 가지 오류에 빠지게 됩니다.
첫 째는 ~~~때, 에서 이 앞부분이 사건이 아니라 시행이 나오면 문제가 이상해진다는 점입니다. '주사위를 던질 때'는 시행이지 사건이 아닙니다. 반드시 어떤 사건이 발생했을 때 구조여야 하니, 문제를 잘못 파악하게 됩니다.
두 번째는 ~~~'때'에 집중하는 것입니다. 조건부확률 문제는 항상 ~~"때"라고 표현되지 않습니다. "~~~사건이 발생했다." 이때 ~~~일 확률 과 같은 구조로 문제가 표현될 수 있습니다. 그래서 반드시 그 본질에 집중해야 합니다. 어떤 식으로 표현되든, 사건이 발생했고, 그 중 어떤 사건일 확률을 구하라는 표현에 반응할 수 있어야 합니다.
포인트 2. 케이스 분류
이 문제는 결국 케이스를 분류하여 접근해야 합니다. 문제 상황을 잘 보면 결국 3개의 공을 뽑는 상황이 몇 번 발생하느냐에 따라서 케이스를 분류할 수 밖에 없습니다. (물론 다르게 분류할 수도 있습니다.) 이때 각각의 케이스 별로 확률을 계산해야 하는데, 이 과정에서 같은 것을 포함한 순열을 이용해야합니다.
발생하는 확률이 두 개 밖에 없는 첫 번째 케이스나, 하나 뿐인 세 번째 케이스의 경우는 사실 같은 것을 포함한 순열을 이용하지 않아도 됩니다. 단순히 독립시행의 확률로 접근해도 좋습니다. 그렇지만 두 번째 케이스인 세 가지 상황이 혼합되는 경우를 계산하기 위해서는 같은 것을 포함한 순열을 이용하여 발생할 수 있는 여러 가지 경우가 있음을 세어 주어야 합니다.
LYC-MATH-HWW 소개
LYC-MATH_HWW는 현장에서 16년간 중고등학생들과 소통하며 강의를 해온 수학 강사입니다. 이제는 단순히 수학이라는 지식을 전달하는 것을 넘어서 수학을 어떻게 공부해야하는지, 수학을 어떻게 가르쳐야 하는지를 강의하고 있습니다. 또한 다년간의 빅데이터를 바탕으로 학생들이 A의 상황에서 어떤 생각을 가지고 있는지 그 뿌리부터 이해하여 근본적인 솔루션을 제공하고 있습니다. 아래는 LYC-MATH가 제공하는 서비스 목록입니다.
1. 100% 커스터마이징 온라인 첨삭.
수학을 공부하며 도움이 필요한 모든 개개인의 사항에 대하여 고객맞춤의 도움을 드리고 있습니다. 서비스는 온라인으로 진행되며, 실시간 온라인 소통 방식 또는 요청하신 내용의 강의 제작 방식으로 진행할 수 있습니다.
2. 수학 공부법 개인 첨삭
현장에서 강의를 하다보면 정말 많은 학생들이 열심히 해도 잘 할 수 없는 방식으로 공부하고 있는 것을 볼 수 있습니다. 수학은 정확히 공부하는, 그리고 생각하는 방법이 있으며, 그 방식으로 반복 훈련하면 금방 습관화시키고 자연스럽게 터득하게 됩니다. 학습자의 상황에 맞춰서 개선해야 하는 부분을 제시하고, 그 부분을 습관화시키기까지 서비스를 진행합니다.
3. 온라인 개인 과외
중고등 학생을 대상으로 필요한 과정에 대한 개인 과외도 진행하고 있습니다.
아래 유튜브 채널 링크를 통해서 운영중인 채널에 올라와 있는 다양한 강의들을 찾아보실 수 있습니다.
또한 네이버 블로그에서 학생들이 남겨진 강의 후기, 공부법 강의 후기 등을 찾아보실 수 있습니다.
또한 기타 궁금하신 사항은 카카오톡 오픈 채팅을 통해서 상담 도와드리고 있으니 편하게 문의 주시면 감사하겠습니다.
| lyc-math 유튜브 채널 | lyc-math 네이버 블로그 | 카카오톡 오픈 채팅 |
'수능 및 평가원 모의평가 기출 해설 > 2025학년도 수능 수학' 카테고리의 다른 글
| 2024학년도 수능 수학 미적분 29번 해설 (0) | 2025.04.22 |
|---|---|
| 2024학년도 수능 미적분 28번 해설 (0) | 2025.04.17 |
| 2024학년도 수능 미적분 27번 해설 (0) | 2025.04.15 |
| 2024학년도 수능 수학 확률과 통계 29번, 30번 해설 (0) | 2025.04.08 |
| 2024학년도 고3 수능 수학 22번 해설 (0) | 2025.04.01 |
| 2024학년도 고3 수능 수학 21번 해설 (0) | 2025.03.28 |
| 2024학년도 고3 수능 수학 20번 해설 (0) | 2025.03.26 |
| 2024학년도 고3 수능 수학 15번 해설 (0) | 2025.03.21 |