
LYC-MATH는 온라인 수업을 기반으로하야 전국의 수험생들을 대상으로 100% 커스터마이징된 첨삭 서비스를 제공합니다. 어디에 질문해야할지 몰랐던 디테일한 질문들, 정확히 내가 궁금한 부분을 긁어줄 수 있는 포인트 강의를 고객님과의 상담을 통해 제공해드리고 있습니다. 글 가장 하단에 카카오톡 문의 채널이 있으니 부담없이 문의주세요!
2025학년도 고3 수능 미적분 29번
문제 소개 - 2025학년도 고3 수능 미적분 29번

- 출제 범위 및 단원 : 미적분 등비급수
- 문제 닌이도 : 중
- 문제에서 요구하는 교과 개념 : 절댓값에 대한 개념, 등비급수
문제 해설 - 2025학년도 고3 수능 미적분 29번


포인트 1. 코멘트
적당한 난이도의 괜찮은 문제라고 생각합니다. 절댓값에 대한 개념과 등비급수에 대한 약간의 심화된 개념을 잘 융합시킨 문제라고 생각합니다. 게다가 복잡하게 주어진 수열에 대해서 어떤 개념을 가지고 접근해야하는 지도 포함시킨 문제라서 형식적으로만 공부하던 학생들에게는 또 하나의 필터가 되지 않았나 하는 생각입니다.
포인트 2. 절댓값
중학생부터 고등학생에 이르기까지 절댓값은 학생들에게 아마 분명히 넘어야할 대상이라고 할 수 있습니다. 이 중요한 절댓값은 중학교 1학년 내지는 2학년 때 처음 배우는데, 그 때 어떻게 배우냐가 앞으로의 5~6년을 결정짓는다고 해도 과언이 아닙니다. 그래서 절댓값에 대한 명확한 개념이 없는 학생들은 이것 하나만 명심하시길 바랍니다.
절댓값은 부호 판단
절댓값 기호는 생각보다 아주 심플한 원리로 작동합니다. 바로 '부호 판단'이라는 개념으로 작동합니다. 절댓값 안에 들어 있는 것이 양수라면 그대로 나오고, 음수라면 -를 달고 나오지요. 중학생때부터 절댓값은 -부호를 없애는 것으로 알고 있는 학생들이 대학을 가는 그 순간까지 절댓값이 나오면 벌벌 떨게 되겠지요. 그래서 절댓값이 보이면, 그 안에 들어있는 식의 부호를 판단하려고 하면 됩니다. 이때 판단할만한 근거가 있다면, 그 근거로 절댓값을 해결하면 될 것이고, 없다면 내가 직접 경우를 나누어서 접근함으로서 절댓값을 해결해야 합니다.
그래서 지금 이 문제는 등비수열이라고 하면서 주어진 절댓값을 포함한 급수를 보면서 an의 부호에 대해서 관심을 가져야만 합니다. 그런데 등비수열이라고 했기 때문에 공비와 초항의 부호에 대해서 관심을 갖게 됩니다. 이 순간 일단 공비가 양수라고 한다면 an의 부호는 일정할 것인데, an의 부호가 양수가 되었든,음수가 되었든 일정하다면, 주어진 식을 만족할 수 없게 됩니다. 따라서 공비는 음수여야 하며, 또한 수렴하는 등비급수기 때문에 크기는 1보다 작아야 합니다.
이제 이렇게 공비의 범위가 -1<r<0이라는 것을 알게 되었으므로 초항의 부호에 따라서 경우를 나누어야 합니다. 왜일까요? 초항의 부호가 정해지지 않으면 절댓값 안에 들어 있는 식의 부호를 판단할 수 없기 때문입니다. 절댓값 안에 들어 있는 식의 부호를 판단해야만 그 다음 계산을 이어갈 수 있기 때문이지요. 그래서 a>0인 경우와 a<0인 경우로 나누어 접근합니다.
a>0인 경우라고 한다면 an은 홀수번째 항에서는 양수이고, 짝수번째 항에서는 음수입니다. 따라서 왼쪽 준식의 결과는 2(a1+a3+...)이 되고, 오른쪽 준식의 결과는 -2(a2+a4+...)이 됩니다. 이제 an이 등비급수라는 것을 이용하면 각각의 계싼 결과들은 공비가 r제곱인 등비급수이므로 그대로 공식으로 2개의 식을 만들 수 있습니다. 이것을 연립하면 a와 r을 구할 수 있게 됩니다.
마찬가지 원리로 a<0인 두 번째 경우도 따져보면 r=-2인 결과가 나오고, 이것은 애초에 가정했던 -1<r<0인 경우에 맞지 않으므로 버리는 경우가 되겠습니다.
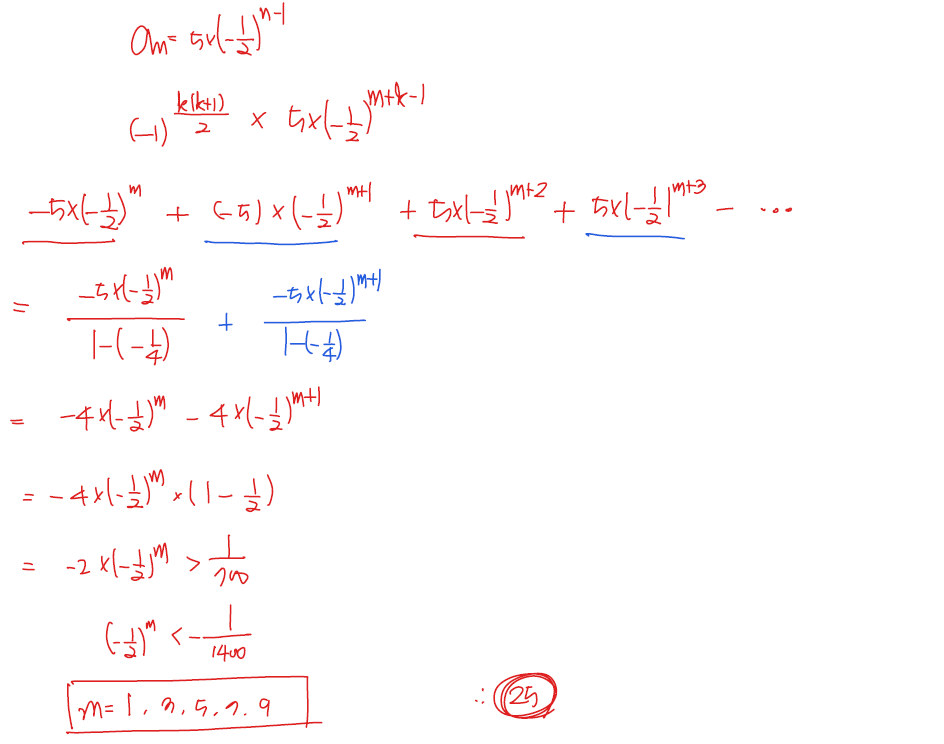
포인트 3. 잘 모르겠으면 넣고 써보기.
이제부터 수열에서 가장 중요한 마인드가 필요한 타이밍입니다.
수열 문제는 잘 모르겠으면 넣고 써보자.
실제로 정말 별것 없는 노가다처럼 보이지만... 교육과정에서는 수열을 놓고 이 행동을 요구하고 있습니다. 수열이라는 것 자체를 여러 가지 공식이나 일반항, 유형등으로 구분하는 것이 아니라, 직접 넣고 나열해서 써봄으로서 규칙을 발견하는 것을 요구하고 있습니다. 따라서 지금 소개하는 개념은 아무나 말할 수 있는 것이 아니라, 누구나 꼭 알아야만 하는 필수 개념인 것입니다.
대부분의 학생들이 아래에 주어진 식이 너무 뚱뚱하고 이상해서 도중에 포기했을 것 입니다. 그렇게 못풀게 만든 문제이지요. 그렇지만 생각보다 별 것 없습니다. 그냥 k=1부터 차근차근 넣어가면서 그 규칙을 발견하기만 한다면 그 이후로는 크게 문제될 것이 없습니다. 다만 우리가 등비급수에서는 하나의 실전 개념은 알고있어야 마지막 답까지 도출할 수 있습니다.
포인트 4. 등비급수는 퐁당퐁당도 봐야한다.
지금 소개하는 개념은 모든 기본서에 다 있는 문제입니다. 등비급수를 공부했다면 무조건 경험한 적이 있는 문제일 것입니다. 그치만 그 문제들과 이 문제의 가장 핵심적인 차이는.... 직접 써져 있는 수열을 보고 규칙을 찾는 것이냐.. 아니면 내가 직접 만든 수들을 보고 규칙을 찾는 것이냐에 있겠습니다.
등비급수는 첫 번째항부터 두 번째 항으로 순차적으로 규칙을 갖지 않을 수 있습니다. 첫 번째 항과 세 번째 항이 규칙을 갖고, 두 번째 항과 네 번째 항이 규칙을 갖는 경우가 비일비재하게 나타납니다. 이런 것을 저는 퐁당퐁당이라고 표현하겠습니다. 그래서 첫 번째항과 두 번째 항 사이의 관계가 세 번째 항에 이어지지 않는다고 당황할 것이 아니라, 그럼 짝수번째 항끼리의 규칙을 관찰하고, 홀수번 째 항끼리의 규칙을 관찰함으로서 두 개의 등비급수로 뜯어서 계산할 수 있어야 합니다.
LYC-MATH-HWW 소개
LYC-MATH_HWW는 현장에서 16년간 중고등학생들과 소통하며 강의를 해온 수학 강사입니다. 이제는 단순히 수학이라는 지식을 전달하는 것을 넘어서 수학을 어떻게 공부해야하는지, 수학을 어떻게 가르쳐야 하는지를 강의하고 있습니다. 또한 다년간의 빅데이터를 바탕으로 학생들이 A의 상황에서 어떤 생각을 가지고 있는지 그 뿌리부터 이해하여 근본적인 솔루션을 제공하고 있습니다. 아래는 LYC-MATH가 제공하는 서비스 목록입니다.
1. 100% 커스터마이징 온라인 첨삭.
수학을 공부하며 도움이 필요한 모든 개개인의 사항에 대하여 고객맞춤의 도움을 드리고 있습니다. 서비스는 온라인으로 진행되며, 실시간 온라인 소통 방식 또는 요청하신 내용의 강의 제작 방식으로 진행할 수 있습니다.
2. 수학 공부법 개인 첨삭
현장에서 강의를 하다보면 정말 많은 학생들이 열심히 해도 잘 할 수 없는 방식으로 공부하고 있는 것을 볼 수 있습니다. 수학은 정확히 공부하는, 그리고 생각하는 방법이 있으며, 그 방식으로 반복 훈련하면 금방 습관화시키고 자연스럽게 터득하게 됩니다. 학습자의 상황에 맞춰서 개선해야 하는 부분을 제시하고, 그 부분을 습관화시키기까지 서비스를 진행합니다.
3. 온라인 개인 과외
중고등 학생을 대상으로 필요한 과정에 대한 개인 과외도 진행하고 있습니다.
아래 유튜브 채널 링크를 통해서 운영중인 채널에 올라와 있는 다양한 강의들을 찾아보실 수 있습니다.
또한 네이버 블로그에서 학생들이 남겨진 강의 후기, 공부법 강의 후기 등을 찾아보실 수 있습니다.
또한 기타 궁금하신 사항은 카카오톡 오픈 채팅을 통해서 상담 도와드리고 있으니 편하게 문의 주시면 감사하겠습니다.
| lyc-math 유튜브 채널 | lyc-math 네이버 블로그 | 카카오톡 오픈 채팅 |
'수능 및 평가원 모의평가 기출 해설 > 2025학년도 수능 수학' 카테고리의 다른 글
| 2024학년도 고3 수능 수학 13번 해설 (0) | 2025.03.19 |
|---|---|
| 2024학년도 고3 수능 수학 12번 해설 (0) | 2025.03.18 |
| 2024학년도 고3 수능 수학 9번, 10번, 11번 해설 (0) | 2025.03.17 |
| 2025학년도 고3 수능 수학 미적분 30번 해설 (0) | 2025.03.14 |
| 2025학년도 고3 수능 수학 미적분 28번 해설 (1) | 2025.03.12 |
| 2025학년도 고3 수능 수학 미적분 27번 해설 (0) | 2025.03.11 |
| 2025학년도 고3 수능 수학 확률과 통계 28번, 29번, 30번 해설 (0) | 2025.03.10 |
| 2025학년도 고3 수능 수학 22번 해설 (0) | 2025.03.06 |