2024학년도 수능 수학 미적분 28번의 자세한 해설과 분석을 원하시나요? 이 포스팅은 자세한 해설영상과 더불어 문제 평가 및 심층 분석을 담고 있으니 확인해보시기 바랍니다.

LYC-MATH는 온라인 수업을 기반으로하야 전국의 수험생들을 대상으로 100% 커스터마이징된 첨삭 서비스를 제공합니다. 어디에 질문해야할지 몰랐던 디테일한 질문들, 정확히 내가 궁금한 부분을 긁어줄 수 있는 포인트 강의를 고객님과의 상담을 통해 제공해드리고 있습니다. 글 가장 하단에 카카오톡 문의 채널이 있으니 부담없이 문의주세요!
≣ Contents
2024학년도 수능 미적분 28번
문제 소개 - 2024학년도 수능 미적분 28번

- 출제 범위 및 단원 : 미적분 초월함수의 미분과 적분
- 문제 닌이도 : 상
- 문제에서 요구하는 교과 개념 : 초월함수의 미적분, 역함수 개념, 일차변환
문제 해설 - 2024학년도 수능 미적분 28번


포인트 1. 문제 평가
난이도가 있던 문제이고 정답률도 상당히 낮은 문제입니다. 학생들에게 생소한 개념이 적용되기도 하구요. 사실 이 문제를 해설하는 방식에서 온전히 교과과정에 있는 내용으로 해설할 수도 있지만, 어렵지 않은 하나의 개념만 추가한다면 문제를 푸는 또 다른 방식을 얻을 수 있으니, 오늘 해설에서는 그 개념을 이용하도록 하겠습니다.
포인트 2. 이 문제의 첫 번째 출제 포인트
첫 번째는 역함수에 대한 얘기입니다. 아직 실력이 부족한 학생들은 이 문제에 어디에도 "역함수"라는 워딩이 나오지 않아서 역함수라고 생각조차 못할 가능성이 높습니다. 이번 기회에 확실히 배워두시길 바랍니다.
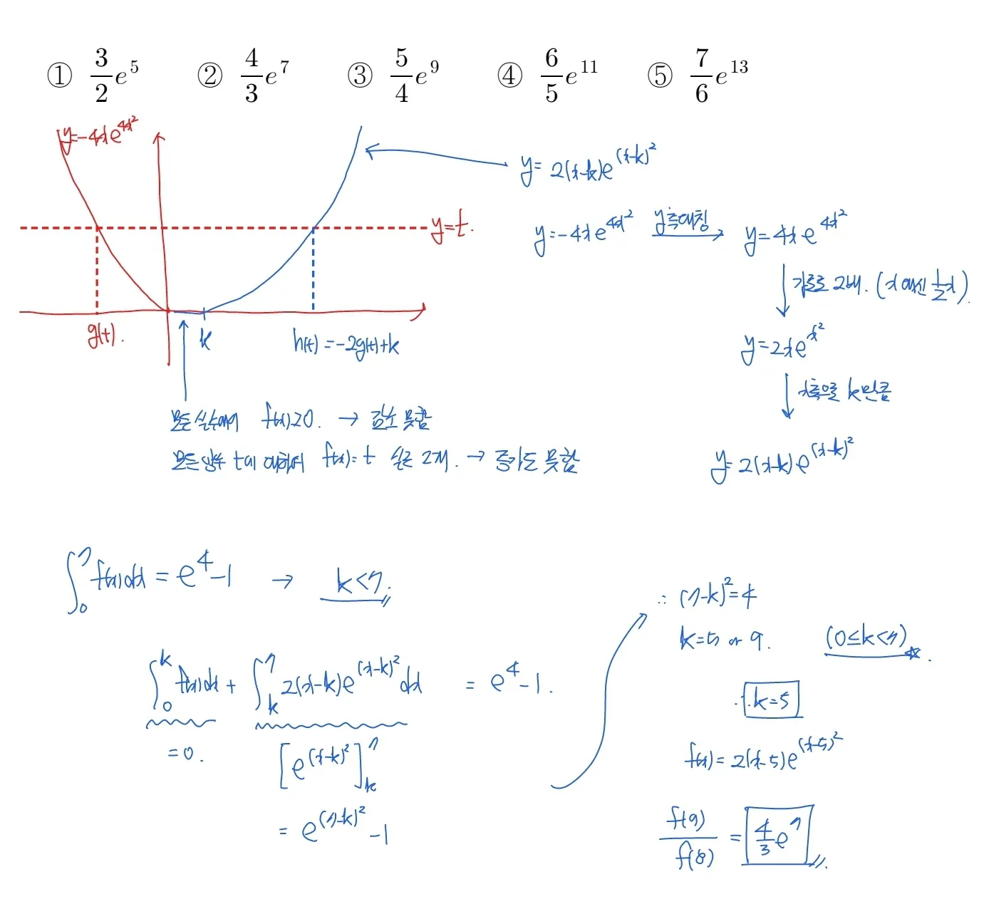
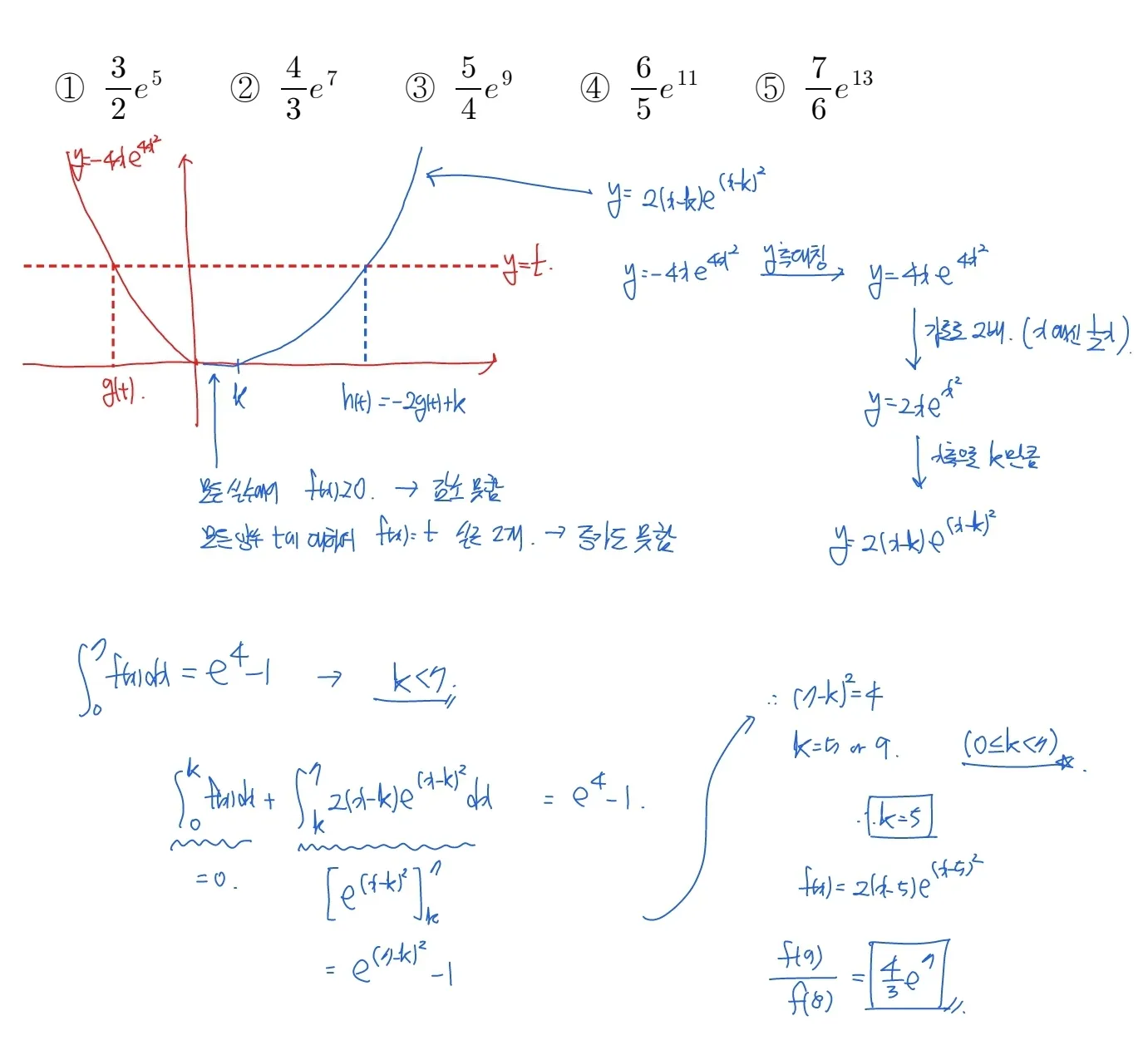
'방정식 f(x)=t의 실근을 g(t)라 하자'
= f(x)의 역함수를 g(x)라 하자.
그런데 이 문제는 이 개념이 없더라도 다른 개념으로 풀 수 있습니다. 물론 이 개념을 이용하여 문제를 해결하는 것이 평가원에서 요구한 풀이인 것 같지만, 역함수를 이용하지 않고도 푸는데 필요한 두 번째 개념을 아래에 소개하겠습니다.
포인트 3. 이 문제의 두 번째 출제 포인트
두 번째 출제 포인트는 중간에 나와있는 2g(t)+h(t)=k를 읽는 방법에 대한 것입니다. 이것을 읽는 방법에 있어서 첫 번째 출제포인트와 연동에서 역함수로서 읽어가는 방법이 있습니다. 하지만, 첫 번째 포인트인 역함수를 모른다고 하더라도 아래 개념을 이해하면 또 다른 방식으로 풀이가 가능합니다.
교과과정에서 이런 내용은 배운적 없을 것입니다. 'x축 방향으로 a배'. 이 개념은 사실 y축 방향으로 a의 연장이라고 생각하면 됩니다. y축 방향으로 a배는 대놓고 배우는 개념은 아니지만, 이미 우리가 그래프를 공부하는 과정에서 습득하게 되는 개념이지요.
실제로 y=x와 y=2x의 그래프가 y좌표가 서로 2배 관계라서, 그 그래프가 어떤 양상을 띄는지는 수험생이라면 다 이해하고 있을 것이라고 생각합니다. 그래서 이 개념이 y축 방향뿐만 아니라 x축 방향으로도 적용 가능하다는 것을 알아야합니다.
y축으로 a배 하면 y 대신에 y/a
x축으로 a배 하면 x 대신에 x/a
이 개념을 그래프로 이해하는 것은 처음 들어도 이해할 수 있는 얘기지만, 이 개념을 식으로 만드는 것은 교과과정에 없는 내용입니다. 하지만 어렵지 않으니 이번 기회에 결과라도 얻어가시길 바랍니다.
포인트 4. 그 밖의 엣지들
이 문제의 난이도가 높았던 이유는 문제에 퍼진 정보들이 하나하나 디테일하게 사용된다는 점도 있었습니다. 특히 문제 처음 두 번째 줄에서 쏟아진 별 것 아닌 것 같아 보이는 정보들이 문제를 풀어가는데 핵심이 되는 것들입니다.
이를테면 실수 전체에서 연속인 함수 f(x)라는 말과 모든 실수에서 f(x)는 0 이상이다라는 말들이 중간에 들어갈 f(x)의 부분이 y=0이라는 상수함수임을 알게 해주는 것들입니다. 또한 방정식의 실근이 모든 양수 t에 대하여 항상 2개다 라는 것 또한 x>0인 부분에서 함수 f(x)는 증가만하는 함수임을 알아챌 수도 있습니다.
해설 영상
위에 글들을 통해서 2024학년도 수능 미적분 28번의 손풀이 사진과 주요 개념들을 텍스트로 전달해드렸습니다. 하지만 역시나 수학은 해설 포스팅에 해설 영상이 빠질 수는 없겠지요. 그래도 부디 위에서 제가 전달하고자 하는 내용들을 텍스트로 먼저 학습하시고 해설 영상을 보시길 바랍니다. 공부의 효과가 두 배는 더 있을 것이라 확신합니다.
또한 2024학년도 수능 미적분 27번 해설과 2025학년도 고3 수능 수학 미적분 28번 해설 도 관심이 있으실 것이라 생각하기에 링크를 남겨둡니다. 필요하신 분은 클릭하시고 각각의 문항의 자세한 해설을 찾아보실 수 있습니다.
LYC-MATH-HWW 서비스 소개
LYC-MATH_HWW는 현장에서 16년간 중고등학생들과 소통하며 강의를 해온 수학 강사입니다. 이제는 단순히 수학이라는 지식을 전달하는 것을 넘어서 수학을 어떻게 공부해야하는지, 수학을 어떻게 가르쳐야 하는지를 강의하고 있습니다. 또한 다년간의 빅데이터를 바탕으로 학생들이 A의 상황에서 어떤 생각을 가지고 있는지 그 뿌리부터 이해하여 근본적인 솔루션을 제공하고 있습니다. 아래는 LYC-MATH가 제공하는 서비스 목록입니다.
1. 100% 커스터마이징 온라인 첨삭.
수학을 공부하며 도움이 필요한 모든 개개인의 사항에 대하여 고객맞춤의 도움을 드리고 있습니다. 서비스는 온라인으로 진행되며, 실시간 온라인 소통 방식 또는 요청하신 내용의 강의 제작 방식으로 진행할 수 있습니다.
2. 수학 공부법 개인 첨삭
현장에서 강의를 하다보면 정말 많은 학생들이 열심히 해도 잘 할 수 없는 방식으로 공부하고 있는 것을 볼 수 있습니다. 수학은 정확히 공부하는, 그리고 생각하는 방법이 있으며, 그 방식으로 반복 훈련하면 금방 습관화시키고 자연스럽게 터득하게 됩니다. 학습자의 상황에 맞춰서 개선해야 하는 부분을 제시하고, 그 부분을 습관화시키기까지 서비스를 진행합니다.
3. 온라인 개인 과외
중고등 학생을 대상으로 필요한 과정에 대한 개인 과외도 진행하고 있습니다.
아래 유튜브 채널 링크를 통해서 운영중인 채널에 올라와 있는 다양한 강의들을 찾아보실 수 있습니다.
또한 네이버 블로그에서 학생들이 남겨진 강의 후기, 공부법 강의 후기 등을 찾아보실 수 있습니다.
또한 기타 궁금하신 사항은 카카오톡 오픈 채팅을 통해서 상담 도와드리고 있으니 편하게 문의 주시면 감사하겠습니다.
| lyc-math 유튜브 채널 | lyc-math 네이버 블로그 | 카카오톡 오픈 채팅 |
![]() |
![]() |
![]() |
'수능 및 평가원 모의평가 기출 해설 > 2025학년도 수능 수학' 카테고리의 다른 글
| 2026학년도 6월 평가원 모의고사 수학 12번, 13번 해설 (3) | 2025.06.20 |
|---|---|
| 2026학년도 6월 평가원 모의고사 수학 9번 ~ 11번 해설 (2) | 2025.06.16 |
| 2024학년도 수능 미적분 30번 해설 (0) | 2025.04.24 |
| 2024학년도 수능 수학 미적분 29번 해설 (0) | 2025.04.22 |
| 2024학년도 수능 미적분 27번 해설 (0) | 2025.04.15 |
| 2024학년도 수능 수학 확률과 통계 29번, 30번 해설 (0) | 2025.04.08 |
| 2024학년도 고3 수능 수학 확률과 통계 27번, 28번 해설 (0) | 2025.04.04 |
| 2024학년도 고3 수능 수학 22번 해설 (0) | 2025.04.01 |


