2026학년도 6월 평가원 모의고사 수학 9번~11번의 자세한 해설과 분석을 원하시나요? 이 포스팅은 자세한 해설영상과 더불어 문제 평가 및 심층 분석을 담고 있으니 확인해보시기 바랍니다.

LYC-MATH는 온라인 수업을 기반으로하야 전국의 수험생들을 대상으로 100% 커스터마이징된 첨삭 서비스를 제공합니다. 어디에 질문해야할지 몰랐던 디테일한 질문들, 정확히 내가 궁금한 부분을 긁어줄 수 있는 포인트 강의를 고객님과의 상담을 통해 제공해드리고 있습니다. 글 가장 하단에 카카오톡 문의 채널이 있으니 부담없이 문의주세요!
≣ Contents
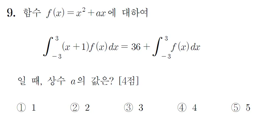
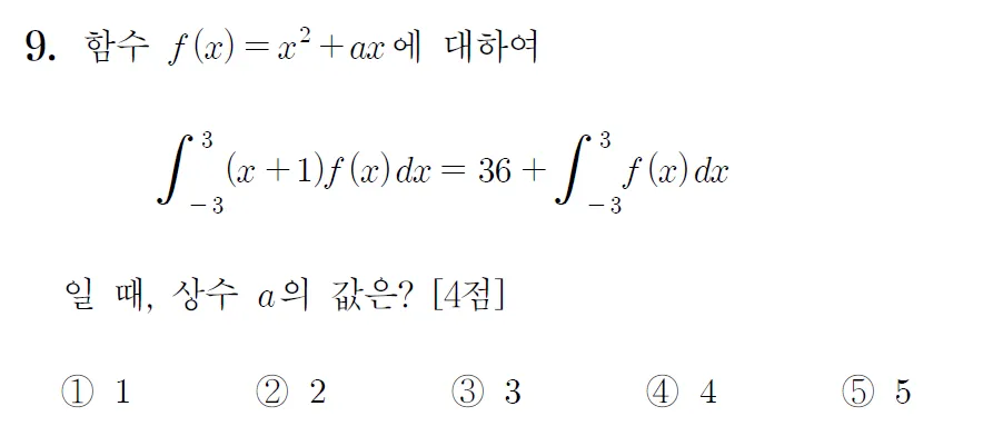
2026학년도 6월 평가원 모의고사 수학 9번
문제 소개 - 2026학년도 6월 평가원 모의고사 수학 9번

- 출제 범위 및 단원 : 수학2 정적분
- 문제 닌이도 : 하
- 문제에서 요구하는 교과 개념 : 정적분의 계산 성질, 우함수 기함수의 정적분
문제 해설 - 2026학년도 6월 평가원 모의고사 수학 9번

포인트 1. 우함수와 기함수
사실 이 문제는 기본적인 정적분의 계산 문제이지만, 그냥 아무 생각 없이 답만 맞추는 것 보다는 우함수와 기함수의 성질을 이용한 계산을 했느냐 안했느냐가 중요한 문제입니다. 주어진 정적분의 구간이 위끝과 아래끝이 부호만 다른 상태라면 반드시 우함수, 기함수의 정적분의 개념이 등장할 수 있어야 합니다.
2026학년도 6월 평가원 모의고사 수학 10번
문제 소개 - 2026학년도 6월 평가원 모의고사 수학 10번

- 출제 범위 및 단원 : 수학1 지수로그함수의 그래프
- 문제 닌이도 : 중하
- 문제에서 요구하는 교과 개념 : 로그함수의 기본적인 이해, 함수의 대칭성의 이해
문제 해설 - 2026학년도 6월 평가원 모의고사 수학 10번

포인트 1. 두 개 이상의 지수로그함수가 주어지면 반드시 그들 사이의 관계를 읽어라.
중요한 포인트입니다. 제가 쓴 수능 해설에서만 해도 벌서 몇 번째 등장인지 모르겠습니다. 그만큼 자주 등장하는 개념이고 중요한 개념입니다. 지수로그함수 문제가 출제되었다면 그냥 아무 생각없이 문제를 읽는 것이 아니라 일단 시작하는 단계에서 관계부터 읽으려고 노력해야 합니다.
여기서 말하는 관계란, 평행이동, 대칭이동, 역함수, '계산이 되는' 관계 정도를 말합니다. 물론 공식적인 얘기는 아니고 제가 학생들에게 수업하는 내용에서 사용하는 용어들입니다. 특히 지금 문제는 대칭이동 관계, 더 정확히는 두 로그함수가 y축에 대하여 대칭인 관계를 확인할 수 있습니다.
이 관계를 이용하면 문제를 푸는 것에 있어서 그림을 그리는 것부터가 용이합니다. 그림으로 푸는 문제에서 그림을 그리는 것이 용이해진다면 더 이상 말할 것도 없겠지요.
2026학년도 6월 평가원 모의고사 수학 11번
문제 소개 - 2026학년도 6월 평가원 모의고사 수학 11번

- 출제 범위 및 단원 : 수학2 속도와 가속도
- 문제 닌이도 : 하
- 문제에서 요구하는 교과 개념 : 위치, 속도, 가속도의 관계에 대한 기본적인 이해
문제 해설 - 2026학년도 6월 평가원 모의고사 수학 11번

포인트 1. 기본 개념
이 문제는 사실 더 해설할 것이 없습니다. 아 물론 있지요. 너무 기본적인 설명이라 할 필요를 못느낄 정도라는 말입니다. 위치를 미분하면 속도, 속도를 미분하면 가속도. 완전히 기본적인 개념이지요.
또한 굳이 하나의 개념을 더 말하자면 ㄷ에서 등장하는 말입니다. '운동 방향이 바뀌는 시각'이라는 것은 '속도의 부호가 바뀌는 시각'을 의미합니다. 기본적이지만 너무 중요하기 때문에 강조하겠습니다.
운동 방향이 바뀌는 시각 = 속도의 부호가 바뀌는 시각
해설 영상
위에 글들을 통해서 2026학년도 6월 평가원 모의고사 수학 11번의 손풀이 사진과 주요 개념들을 텍스트로 전달해드렸습니다. 하지만 역시나 수학은 해설 포스팅에 해설 영상이 빠질 수는 없겠지요. 그래도 부디 위에서 제가 전달하고자 하는 내용들을 텍스트로 먼저 학습하시고 해설 영상을 보시길 바랍니다. 공부의 효과가 두 배는 더 있을 것이라 확신합니다.
LYC-MATH-HWW 서비스 소개
LYC-MATH_HWW는 현장에서 16년간 중고등학생들과 소통하며 강의를 해온 수학 강사입니다. 이제는 단순히 수학이라는 지식을 전달하는 것을 넘어서 수학을 어떻게 공부해야하는지, 수학을 어떻게 가르쳐야 하는지를 강의하고 있습니다. 또한 다년간의 빅데이터를 바탕으로 학생들이 A의 상황에서 어떤 생각을 가지고 있는지 그 뿌리부터 이해하여 근본적인 솔루션을 제공하고 있습니다. 아래는 LYC-MATH가 제공하는 서비스 목록입니다.
1. 100% 커스터마이징 온라인 첨삭.
수학을 공부하며 도움이 필요한 모든 개개인의 사항에 대하여 고객맞춤의 도움을 드리고 있습니다. 서비스는 온라인으로 진행되며, 실시간 온라인 소통 방식 또는 요청하신 내용의 강의 제작 방식으로 진행할 수 있습니다.
2. 수학 공부법 개인 첨삭
현장에서 강의를 하다보면 정말 많은 학생들이 열심히 해도 잘 할 수 없는 방식으로 공부하고 있는 것을 볼 수 있습니다. 수학은 정확히 공부하는, 그리고 생각하는 방법이 있으며, 그 방식으로 반복 훈련하면 금방 습관화시키고 자연스럽게 터득하게 됩니다. 학습자의 상황에 맞춰서 개선해야 하는 부분을 제시하고, 그 부분을 습관화시키기까지 서비스를 진행합니다.
3. 온라인 개인 과외
중고등 학생을 대상으로 필요한 과정에 대한 개인 과외도 진행하고 있습니다.
아래 유튜브 채널 링크를 통해서 운영중인 채널에 올라와 있는 다양한 강의들을 찾아보실 수 있습니다.
또한 네이버 블로그에서 학생들이 남겨진 강의 후기, 공부법 강의 후기 등을 찾아보실 수 있습니다.
또한 기타 궁금하신 사항은 카카오톡 오픈 채팅을 통해서 상담 도와드리고 있으니 편하게 문의 주시면 감사하겠습니다.
| lyc-math 유튜브 채널 | lyc-math 네이버 블로그 | 카카오톡 오픈 채팅 |
| https://www.youtube.com/@lyc_math | https://blog.naver.com/asddudcjf | https://open.kakao.com/o/sNViAxih |
'수능 및 평가원 모의평가 기출 해설 > 2025학년도 수능 수학' 카테고리의 다른 글
| 2026학년도 6월 평가원 모의고사 수학 14번 해설 (4) | 2025.06.24 |
|---|---|
| 2026학년도 6월 평가원 모의고사 수학 12번, 13번 해설 (3) | 2025.06.20 |
| 2024학년도 수능 미적분 30번 해설 (0) | 2025.04.24 |
| 2024학년도 수능 수학 미적분 29번 해설 (0) | 2025.04.22 |
| 2024학년도 수능 미적분 28번 해설 (0) | 2025.04.17 |
| 2024학년도 수능 미적분 27번 해설 (0) | 2025.04.15 |
| 2024학년도 수능 수학 확률과 통계 29번, 30번 해설 (0) | 2025.04.08 |
| 2024학년도 고3 수능 수학 확률과 통계 27번, 28번 해설 (0) | 2025.04.04 |