
LYC-MATH는 온라인 수업을 기반으로하야 전국의 수험생들을 대상으로 100% 커스터마이징된 첨삭 서비스를 제공합니다. 어디에 질문해야할지 몰랐던 디테일한 질문들, 정확히 내가 궁금한 부분을 긁어줄 수 있는 포인트 강의를 고객님과의 상담을 통해 제공해드리고 있습니다. 글 가장 하단에 카카오톡 문의 채널이 있으니 부담없이 문의주세요!
2025학년도 고3 수능 미적분 28번
문제 소개 - 2025학년도 고3 수능 미적분 28번

- 출제 범위 및 단원 : 미적분 정적분
- 문제 닌이도 : 상
- 문제에서 요구하는 교과 개념 : 도함수의 활용, 부분적분, 정적분
문제 해설 - 2025학년도 고3 수능 미적분 28번


포인트 1. 코멘트
이번 수능에서 가장 어려운 문제가 아니었나 싶은 문제입니다. 또한 개인적으로 확통과의 난이도 조절이 대실패했다는 것도 여실히 보여주는 문제라고 생각합니다.. 이런 식으로 나눌거면 나누지 않는 것이 훨신 낫겠다는 생각이 드는 문제이지요. 저는 개인적으로 문제의 난이도가 올라가는 이유는 논리적인 생각으로 문제를 풀어가는 것이 쉽지 않을 때라고 생각합니다. 기본적인 사고로 생각을 이어갈 수 있는 것이 아니라... 순전히 경험과 센스로 문제의 연결고리를 채워야 한다면 그거야 말로 어려운 문제라고 생각하고 있습니다.
포인트 2. 불가능한 적분의 인식
일단 이 문제의 가장 중요한 핵심 중 하나는 적분이 불가능한 식을 인지하는 것입니다. 내가 몰라서 이거 어떻게 적분하지? 를 고민하는 것이 아니라, 이것은 불가능한 적분이니까 적분을 하려고 덤비지 말고 다른 우회로를 찾아야해. 라는 생각을 할 수 있어야 합니다. 그러려면 이 식을 적분할 수 있는 식인지, 못하는 식인지를 알아야 하는 것이죠.
지금 문제에 주어진 f '(x)는 적분을 할 수 없는 식입니다. 따라서 그 아래에서 접선을 만들 때나. 그리고 둘러싸인 도형의 넓이를 구할 때나 모두 f(x)가 필요한 부분이지만, 우리는 f(x)를 단순히 f '(x)를 적분해서 구할 수는 없는 상황인 것입니다. 그렇다면 내가 정작 필요한 것이 무엇인지 다시 따져야할 때입니다. 문제에서 제시하는 접선도 그냥저냥 표현할 수 있지만, 중요한 것은 둘러싸인 도형의 넓이를 구하려면 최소한 f(x)의 그래프는 필요한 것이죠.
지금부터 f(x)의 그래프를 그려야 한다는 생각을 할 수 있습니다. f(x)의 그래프는 f(x)를 알아야만 그릴 수 있는 것은 아닙니다. f '(x)의 부호 변화를 가지고 f(x)를 그릴 수 있으므로 f '(x)를 알고 있다면 f(x)의 개형을 만들 수 있습니다. 그래서 f '(x)의 부호 변화를 관찰할 필요가 생겼고, 이를 위해서 f '(x)의 그래프를 그려야 겠습니다. 이를 위해서 다시 f ''(x)를 구해서 f ''(x)의 그래프로부터 f '(x)의 그래프를 그릴 것입니다.
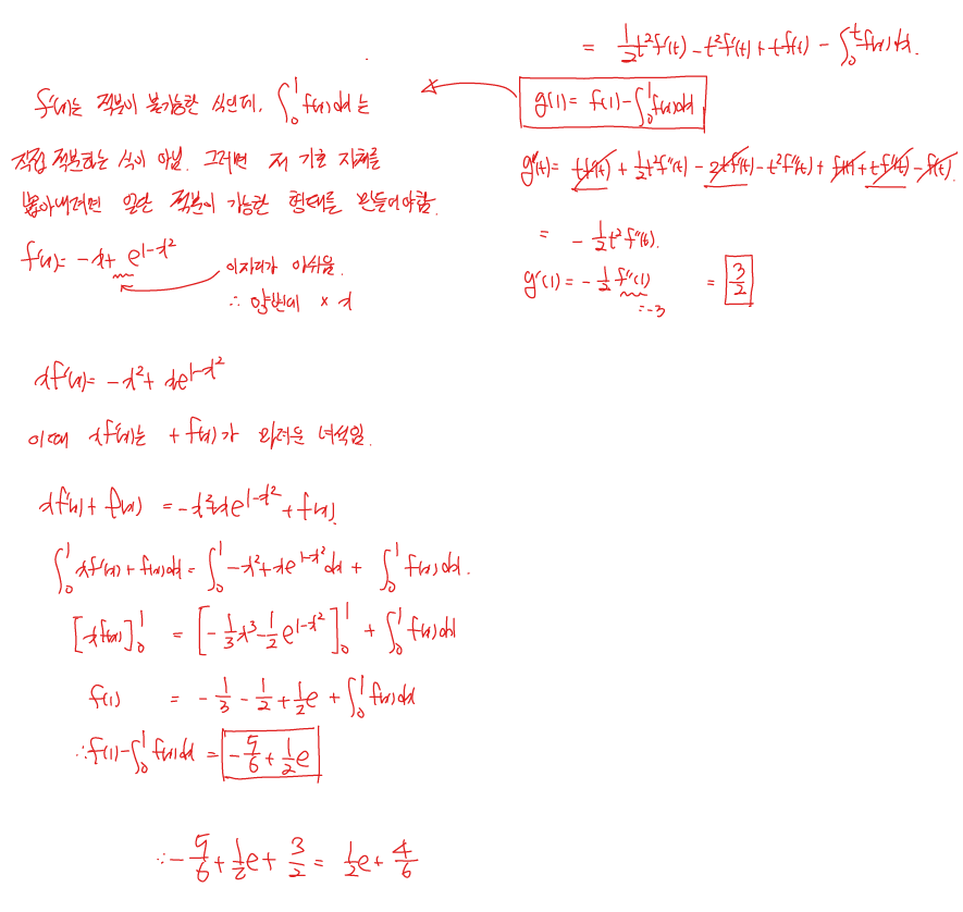
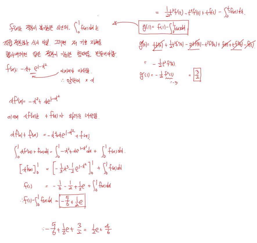
f ''(x)의 그래프는 항상 음수이므로 f '(x)의 그래프는 감소만 하고 있습니다. 우리는 어차피 x>0인 부분만 필요하니 x>0인 부분에서의 그래프만 관찰할 것이고, 따라서 f '(x)는 (0, e)에서 x절편은 1인 상태로 감소만 하는 그래프가 됩니다. 즉, f (x)의 그래프는 x=1까지는 증가하다가, 그 이후로는 계속 감소하는 그래프가되며, 시종일관 위로 볼록한 그래프가 되는 것을 알 수 있습니다. 그렇다는 것은 접선과 f(x)의 관계는 항상 접선이 더 위에 있는 관계라는 것을 알 수 있고, 이제 접선-f(x)를 적분하는 것이 문제에서 요구하는 g(t)라는 것을 알 수 있습니다.
이제 g(t)를 열심히 만들었으니, 문제에서 요구한 g(1)과 g '(1)을 구해야할 차례입니다. 그런데 g '(1)은 어렵지 않습니다. g(x)를 미분하면 어련히 g '(1)을 구하는 것에 문제가 생기지 않습니다. 그렇지만 문제는 g(1)입니다. g(1)을 만들어보면 f(1)과 f(x)의 적분으로 구성되어 있지요. 위에서 봤다싶이 우리는 f(x)의 식을 모릅니다. 그러니 함숫값도 적분값도 구할 수는 없는 상태입니다. 그렇지만 분명히 문제에서는 이 값을 요구하고 있는 것이지요. 그럼 여기서 두 번째 포인트가 들어갑니다.
포인트 3. 불가능한 적분을 가능하게 하기 위한 적절한 변형
지금 f '(x)가 적분이 불가능한 이유는 뒤에 지수함수 부분 때문입니다. 지수함수에 지수를 미분한 형태가 곱해져 있다면 치환적분을 이용하여 적분을 수행할 수 있지요. 바로 이 결핍에서부터 생각할 수 있는 아이디어입니다. 그럼 그냥 x를 곱해놓으면 되지 않을까?? 라는 생각이지요. 적분을 어쨌든 해야만 하는 상황이라면 적분을 하기 위에 준식의 양변에 x를 곱하자. 라는 생각을 하는 것이 이 문제의 포인트입니다. 여기서 또 하나의 실전 팁이 들어갑니다.
xf'(x)는 반드시 f(x)와 같이 보려고 해야 한다.
양변에 x를 곱하면 좌변에는 xf '(x)가 있는 상황이며, 우변은 이제 적분이 가능한 상황입니다. 그치만 양변을 적분하는 것이기 때문에 좌변도 적분이 가능해야만 하지요. 이 순간입니다. xf'(x)를 보고 f(x)를 더해줘야겠다는 생각은 교과서 어디에서도 배우지 않습니다. 이런 고난도 문제를 풀면서 얻게되는 순전한 경험치인 것입니다. 그래서 완전한 실전팁이라고 할 수 있는 것입니다. 양변에 f(x)를 더해주면 이제 좌변도 적분할 수 있는 형태가 됩니다.
포인트 4. 구하라는 것에만 집중하는 생각
이 이후로는 계산으로 마무리가 됩니다. 하지만 또 하나의 실전 개념이 필요하지요. 사실 이런 생각은 중학교때부터 단련이 되어 있어서 이미 몸에 베어있어야 하는 생각입니다. 바로 구해야할 것만 집중하는 것입니다. f(1)과 적분기호를 각각 따로 구하려고 생각하면, 다 풀어놓고 문제에서 막히게 됩니다. 그러지말고 결국 구해야하는 것은 이 둘의 차이인 것만 생각한다면, 계산과정에서 이미 답이 나왔음을 알 수 있을 것입니다.
LYC-MATH-HWW 소개
LYC-MATH_HWW는 현장에서 16년간 중고등학생들과 소통하며 강의를 해온 수학 강사입니다. 이제는 단순히 수학이라는 지식을 전달하는 것을 넘어서 수학을 어떻게 공부해야하는지, 수학을 어떻게 가르쳐야 하는지를 강의하고 있습니다. 또한 다년간의 빅데이터를 바탕으로 학생들이 A의 상황에서 어떤 생각을 가지고 있는지 그 뿌리부터 이해하여 근본적인 솔루션을 제공하고 있습니다. 아래는 LYC-MATH가 제공하는 서비스 목록입니다.
1. 100% 커스터마이징 온라인 첨삭.
수학을 공부하며 도움이 필요한 모든 개개인의 사항에 대하여 고객맞춤의 도움을 드리고 있습니다. 서비스는 온라인으로 진행되며, 실시간 온라인 소통 방식 또는 요청하신 내용의 강의 제작 방식으로 진행할 수 있습니다.
2. 수학 공부법 개인 첨삭
현장에서 강의를 하다보면 정말 많은 학생들이 열심히 해도 잘 할 수 없는 방식으로 공부하고 있는 것을 볼 수 있습니다. 수학은 정확히 공부하는, 그리고 생각하는 방법이 있으며, 그 방식으로 반복 훈련하면 금방 습관화시키고 자연스럽게 터득하게 됩니다. 학습자의 상황에 맞춰서 개선해야 하는 부분을 제시하고, 그 부분을 습관화시키기까지 서비스를 진행합니다.
3. 온라인 개인 과외
중고등 학생을 대상으로 필요한 과정에 대한 개인 과외도 진행하고 있습니다.
아래 유튜브 채널 링크를 통해서 운영중인 채널에 올라와 있는 다양한 강의들을 찾아보실 수 있습니다.
또한 네이버 블로그에서 학생들이 남겨진 강의 후기, 공부법 강의 후기 등을 찾아보실 수 있습니다.
또한 기타 궁금하신 사항은 카카오톡 오픈 채팅을 통해서 상담 도와드리고 있으니 편하게 문의 주시면 감사하겠습니다.
| lyc-math 유튜브 채널 | lyc-math 네이버 블로그 | 카카오톡 오픈 채팅 |
'수능 및 평가원 모의평가 기출 해설 > 2025학년도 수능 수학' 카테고리의 다른 글
| 2024학년도 고3 수능 수학 12번 해설 (0) | 2025.03.18 |
|---|---|
| 2024학년도 고3 수능 수학 9번, 10번, 11번 해설 (0) | 2025.03.17 |
| 2025학년도 고3 수능 수학 미적분 30번 해설 (0) | 2025.03.14 |
| 2025학년도 고3 수능 수학 미적분 29번 해설 (0) | 2025.03.13 |
| 2025학년도 고3 수능 수학 미적분 27번 해설 (0) | 2025.03.11 |
| 2025학년도 고3 수능 수학 확률과 통계 28번, 29번, 30번 해설 (0) | 2025.03.10 |
| 2025학년도 고3 수능 수학 22번 해설 (0) | 2025.03.06 |
| 2025학년도 고3 수능 수학 21번 해설 (0) | 2025.03.05 |