
LYC-MATH는 온라인 수업을 기반으로하야 전국의 수험생들을 대상으로 100% 커스터마이징된 첨삭 서비스를 제공합니다. 어디에 질문해야할지 몰랐던 디테일한 질문들, 정확히 내가 궁금한 부분을 긁어줄 수 있는 포인트 강의를 고객님과의 상담을 통해 제공해드리고 있습니다. 글 가장 하단에 카카오톡 문의 채널이 있으니 부담없이 문의주세요!
2024학년도 고3 수능 9번
문제 소개 - 2024학년도 고3 수능 9번

- 출제 범위 및 단원 : 수학1 로그의 계산
- 문제 닌이도 : 하
- 문제에서 요구하는 교과 개념 : 로그의 성질과 계산
문제 해설 - 2024학년도 고3 수능 9번

9번 문제답게 그다지 어려운 문제는 아니었습니다. 수능을 준비하는 학생이 혹시 내분점, 외분점을 구하는 공식도 모를까 싶긴 하다만... 혹시 아직 몰랐다면 꼭 알아두어야 할 것입니다.
포인트 1. 내분점과 외분점
내분점과 외분점은 공식으로 기억하기 보다는 방식으로 기억하시기 바랍니다. 대부분의 공식을 기억 못하는 학생들의 특징은 이것을 식으로 기억하려고 하기 때문입니다. 내분점과 외분점을 구하는 공식은 식으로 외우기는 쉽지 않은 형태입니다. 따라서 구하는 방식을 기억해주어야 합니다.
또한 내분점과 외분점은 단순히 식의 결과만 아는 것이 아니라, 그림에서 그 의미를 정확히 알고 있어야 합니다. 수능 수학은 식에 대한 이해도 당연히 중요하겠지만, 대부분 그래프에 대한 이해를 더 중요시 합니다. 그리고 공부를 하는 학생 또한 이미 잘 알고있는 식을 잘 안다고 좋아할 것이 아니라, 기하학적인 의미까지도 정복하려는 시도를 해야 합니다.
그리고 한 가지만 더 언급하자면, 계산도 눈여겨 봐 둘 필요는 있겠습니다. 12의 m제곱과 3의 -m제곱을 봤을 때 4의 m제곱이 눈에 들어오지 않으면 아직 지수법칙이 연습이 덜 되어 있을 가능성이 높습니다. 지수법칙과 관련된 계산 문제를 더 연습하시길 바랍니다.
2024학년도 고3 수능 10번
문제 소개 - 2024학년도 고3 수능 10번

- 출제 범위 및 단원 : 수학2 속도와 거리
- 문제 닌이도 : 중
- 문제에서 요구하는 교과 개념 : 속도와 거리, 부정적분
문제 해설 - 2024학년도 고3 수능 10번


속도와 가속도, 속도와 거리에 대한 아주 전형적이고 좋은 문제라고 생각합니다. 이 문제만의 특별한 점이 있는 것은 아니지만, 공부를 충실히 했는지를 확인하기 좋은 용도의 문제입니다. 기본적으로 속도를 미분하면 가속도, 위치를 미분하면 속도라는 것과, 가속도를 적분하면 속도, 속도를 적분하면 위치라는 것을 알아야 합니다.
포인트 1. 속도의 부정적분과 정적분
이때 중요한 것은 적분에서는 부정적분과 정적분 두 가지가 있으니, 그 의미의 디테일한 차이도 알고 있어야 합니다. 속도를 부정적분하면 위치가 되는 것이고, 이때 생기는 적분 상수는 위치에 대한 정보로서 찾습니다. 예를들면 '처음 원점에서 출발한다.'와 같은 정보가 적분상수를 찾는데 도움이 되는 정보입니다. 또한 속도의 정적분은 움직인 거리, 혹은 변위를 구하는 용도가 됩니다. 부정적분과 정적분에서 디테일한 차이가 있으니 확인해두시기 바랍니다.
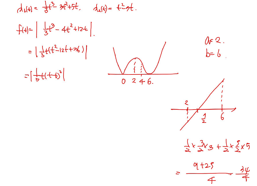
포인트 2. 거리는 절댓값이다.
이 문제의 두 번째 포인트는 거리는 절댓값이라는 점입니다. 물론 더 기초적으로는 거리를 어떻게 구하는 것인지 부터 알아야 하겠지요. 위에서 배운대로 두 속도 식을 부정적분하면 점 P와 점 Q의 위치에 대한 식을 알 수 있습니다. 이제 그 두 식을 빼주면 두 점 사이의 거리를 만들게 되는 것입니다. 다만 여기서 주의할 점이 있습니다.
거리는 양수다. 즉 거리는 절댓값을 꼭 붙인다.
거리는 두 위치를 빼서 구하는 것이 맞습니다. 다만 거리는 음수 개념이 없기 때문에 항상 양수여야만 하고, 그래서 더 큰 것에서 작은 것을 빼야만 옳바른 거리라고 할 수 있습니다. 다만, 우리는 시시각각 변하는 두 위치를 누가 더 오른쪽 또는 위에 점인지를 판단하는 것이 쉽지 않습니다. 따라서 그냥 아무 생각 없이 뺀 다음, 절댓값을 붙여서 양수가 되도록 만드는 것입니다.
이때 절댓값 함수의 그래프는 x축 아래 부분을 뒤집어 올리는 형태가 되므로, 일일이 누가 더 큰지 파악해서 그림을 그릴 필요 없이, 절댓값 그래프를 그려서 쉽게 접근할 수 있습니다.
2024학년도 고3 수능 11번
문제 소개 - 2024학년도 고3 수능 11번

- 출제 범위 및 단원 : 수학1 등차수열, 수열의 합
- 문제 닌이도 : 하
- 문제에서 요구하는 교과 개념 : 등차수열, 등차수열의 합, 수열의 합
문제 해설 - 2024학년도 고3 수능 11번

포인트 1. 등차수열의 합
수능에서 등차수열 문제는 아주 흔한 문제입니다. 게다가 아주 중요한 문제이기도 합니다. 저는 등차수열에 있어서는 합을 정말 중요시하고, 설명도 아주 많이 해주는 편입니다. 특히 등차수열의 합과 관련해서는 아래의 개념을 정말 강조합니다.
등차수열의 합은 등차중항을 적극적으로 이용한다.
등차수열의 합을 계산할 때는 학교에서 배우는 그 단순히 공식 계산을 하는 것이 아닙니다. 사실상 공식 계산은 수능에서는 거의 하지 않는 행동이라고 해도 과언이 아닙니다. 수능에서 등차수열의 합은 등차중항과의 연계가 굉장히 중요합니다. 여기서 등차중항과의 연계라는 것이 무엇이냐? 예를들어, a1+a2+a3+a4+a5를 계산한다고 하면, a1+a5=2a3가 되고, a2+a4=2a3가 되면서 결국 이 합의 결과는 5a3이 됩니다. 이것을 저는 중항x항의 개수 라고 부릅니다.
포인트 2. 시그마에 대한 이해, 넣고 더해보는 것
그리고 이 문제는 시그마에 대한 기본적인 이해도 있어야 합니다. 아마 이 문제를 푸는 대부분의 학생들은 등차수열이라고 하니까 미지수를 초항과 공차로 설정하고 식으로 열심히 풀었을 것입니다. 특히 저 시그마에 있는 부분에 등차수열의 일반항을 식으로 만들어서 열심히 식 계산을 했을 것입니다.
이 글을 읽는 여러분은 그러지 마시고 시그마가 나오면 한 발짝 떨어져서 아래의 생각을 해보길 바랍니다.
시그마는 넣고 더하는 것이다.
무턱대고 식으로 만들지 마시고, 있는 그대로 일반항 형태에 넣고 계산을 해보면, 일단 그 계산과정 자체부터 간결한 것이며, 더 깔끔한 결과를 얻을 수 있습니다.
LYC-MATH-HWW 소개
LYC-MATH_HWW는 현장에서 16년간 중고등학생들과 소통하며 강의를 해온 수학 강사입니다. 이제는 단순히 수학이라는 지식을 전달하는 것을 넘어서 수학을 어떻게 공부해야하는지, 수학을 어떻게 가르쳐야 하는지를 강의하고 있습니다. 또한 다년간의 빅데이터를 바탕으로 학생들이 A의 상황에서 어떤 생각을 가지고 있는지 그 뿌리부터 이해하여 근본적인 솔루션을 제공하고 있습니다. 아래는 LYC-MATH가 제공하는 서비스 목록입니다.
1. 100% 커스터마이징 온라인 첨삭.
수학을 공부하며 도움이 필요한 모든 개개인의 사항에 대하여 고객맞춤의 도움을 드리고 있습니다. 서비스는 온라인으로 진행되며, 실시간 온라인 소통 방식 또는 요청하신 내용의 강의 제작 방식으로 진행할 수 있습니다.
2. 수학 공부법 개인 첨삭
현장에서 강의를 하다보면 정말 많은 학생들이 열심히 해도 잘 할 수 없는 방식으로 공부하고 있는 것을 볼 수 있습니다. 수학은 정확히 공부하는, 그리고 생각하는 방법이 있으며, 그 방식으로 반복 훈련하면 금방 습관화시키고 자연스럽게 터득하게 됩니다. 학습자의 상황에 맞춰서 개선해야 하는 부분을 제시하고, 그 부분을 습관화시키기까지 서비스를 진행합니다.
3. 온라인 개인 과외
중고등 학생을 대상으로 필요한 과정에 대한 개인 과외도 진행하고 있습니다.
아래 유튜브 채널 링크를 통해서 운영중인 채널에 올라와 있는 다양한 강의들을 찾아보실 수 있습니다.
또한 네이버 블로그에서 학생들이 남겨진 강의 후기, 공부법 강의 후기 등을 찾아보실 수 있습니다.
또한 기타 궁금하신 사항은 카카오톡 오픈 채팅을 통해서 상담 도와드리고 있으니 편하게 문의 주시면 감사하겠습니다.
| lyc-math 유튜브 채널 | lyc-math 네이버 블로그 | 카카오톡 오픈 채팅 |
'수능 및 평가원 모의평가 기출 해설 > 2025학년도 수능 수학' 카테고리의 다른 글
| 2024학년도 고3 수능 수학 15번 해설 (0) | 2025.03.21 |
|---|---|
| 2024학년도 고3 수능 수학 14번 해설 (0) | 2025.03.20 |
| 2024학년도 고3 수능 수학 13번 해설 (0) | 2025.03.19 |
| 2024학년도 고3 수능 수학 12번 해설 (0) | 2025.03.18 |
| 2025학년도 고3 수능 수학 미적분 30번 해설 (0) | 2025.03.14 |
| 2025학년도 고3 수능 수학 미적분 29번 해설 (0) | 2025.03.13 |
| 2025학년도 고3 수능 수학 미적분 28번 해설 (1) | 2025.03.12 |
| 2025학년도 고3 수능 수학 미적분 27번 해설 (0) | 2025.03.11 |