
LYC-MATH는 온라인 수업을 기반으로하야 전국의 수험생들을 대상으로 100% 커스터마이징된 첨삭 서비스를 제공합니다. 어디에 질문해야할지 몰랐던 디테일한 질문들, 정확히 내가 궁금한 부분을 긁어줄 수 있는 포인트 강의를 고객님과의 상담을 통해 제공해드리고 있습니다. 글 가장 하단에 카카오톡 문의 채널이 있으니 부담없이 문의주세요!
2024학년도 고3 수능 12번
문제 소개 - 2024학년도 고3 수능 12번

- 출제 범위 및 단원 : 수학2 정적분
- 문제 닌이도 : 중
- 문제에서 요구하는 교과 개념 : 둘러싸인 도형의 넓이
문제 해설 - 2024학년도 고3 수능 12번


적당한 난이도의 좋은 퀄리티의 문제라고 생각합니다. 일단 해설 영상에서도 자세히 말씀드렸지만 저는 이 문제를 바라보는 시선이 두 가지가 있다고 생각합니다. 하나는 직관적이고 기하학적인 해석이고, 하나는 식으로 푸는 해석입니다. 일단 직관적인 해석을 하기 위해서는 함수 g(x)를 읽을 줄 알아야 합니다.
포인트 1. 함수의 직관적인 해석
보통 이렇게 구간에 따라 식이 다른 함수는 직관적인 해석이 가능한 경우가 많습니다. 모든 경우가 다 가능하다고는 볼 수 없지만, 그래도 일단 문제를 만났을 때 직관적인 해석이 가능한지를 먼저 살펴보는 것이 큰 도움이 될 것 입니다. 그래서 지금 주어진 g(x)는 아래와 같이 읽을 수 있습니다.
'g(x)는 x<t인 구간에서는 f(x)와 같은 그림이며, x>t인 구간에서는 기울기가 -1인 직선이다. 이때 x=t에서 정확히 이어지는 그림이다.'
이렇게 생각한다면 g(x)의 그래프를 따로 생각하는 것이 아니라, f(x)의 그래프를 모체로 두고 해석하는 것이 좋다는 것을 알 수 있습니다. 그래서 x=t를 어디로 잡느냐에 따라서 g(x)의 그래프는 달라질 것이고 달라진 그래프에 따라서 x축으로 둘러싸인 도형의 넓이가 달라지게 될 것 입니다.
그래서 지금부터 t의 위치를 바꾸어가며 g(x)가 만들어지는 원리를 파악하고, 그 중에서 둘러싸인 도형의 넓이가 최대가 되는 순간을 찾아야 합니다. 이때 여러 가지 시도를 해보면서 관찰하면, 위로 볼록과 아래로 볼록 내용과 관련이 있음을 알 수 있습니다. 즉, 일단 그래프에 위로 볼록한 구간에서 x=t가 있다면 주의를 해야함을 알 수 있습니다.
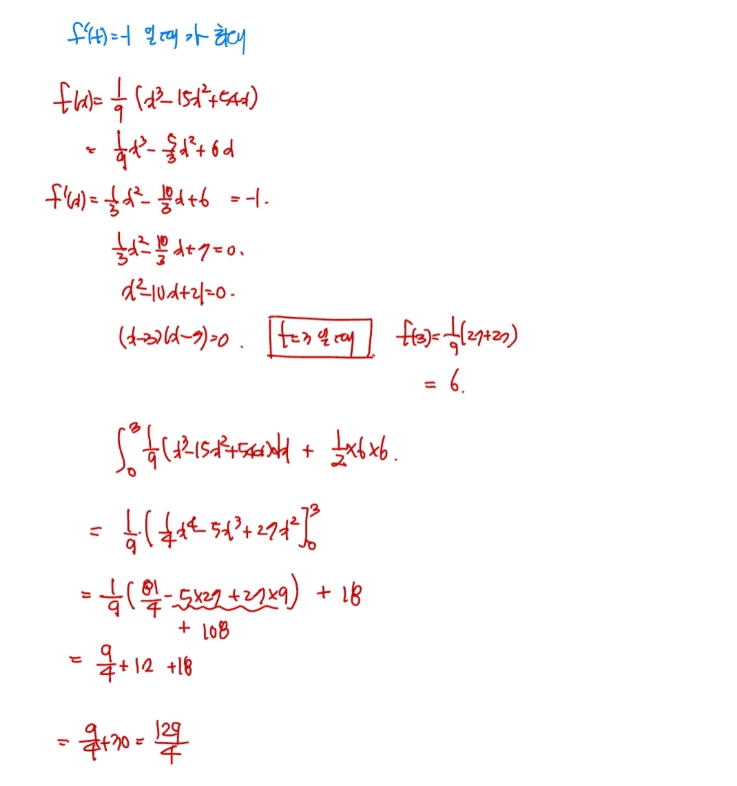
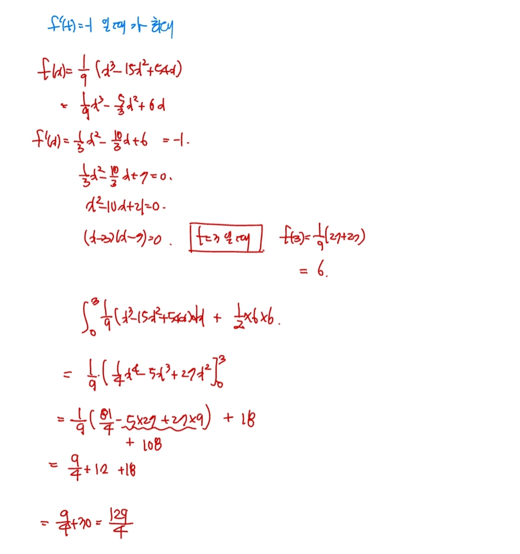
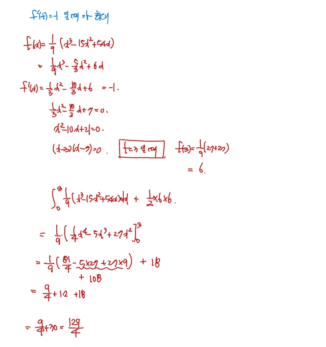
더 나아가서 결국은 기울기가 -1이 되는 순간이 이 문제의 포인트가 되는 것 또한 알 수 있습니다. 왜냐하면 기울기가 -1이 되기 전에는 x>t인 구간에서 그려지는 넓이가 f(x)의 그래프가 더 넓지만 기울기가 -1이 되는 순간의 값보다 t가 더 크다면, 그 이후로의 그림은 직선이 더 넓은 범위를 갖게 됩니다. 따라서 f(x)의 접선의 기울기가 -1이 되는 순간의 x의 값은 3이고, 즉 t=3일 때 g(x)가 x축과 둘러싸인 도형의 넓이는 최대가 됩니다.
포인트 2. 식을 이용한 접근
최댓값, 최솟값 문제는 결국 크게는 세 가지 부류가 있다고 볼 수 있습니다.
최대최소는 미분의 활용, 산술기하, 대수적인 접근
결국 문제가 최대, 최소를 묻는 문제라면 셋 중에서 어떤 형태의 접근일지를 먼저 가늠해보는 것이 문제를 푸는 것에 큰 도움이 됩니다. 이런 관점에서 봤을 때 지금 상황은 산술기하나 대수적인 접근과는 거리가 있어보이므로 미분을 이용하는 것이 적합해보입니다.
미분을 이용하려면 g(x)를 식으로 만들어야 하고, 식으로 만들 수 있다면 사실 큰 고민 없이 내용을 진행할 수 있습니다. 그래서 g(x)를 식으로 만들 수 있는지를 검토해보는데, 생각보다 쉽게 식으로 만들 수 있습니다. 0부터 t까지는 f(x)의 넓이와 같고, 그 이후로는 밑변과 높이가 f(t)로 같은 직각이등변삼각형이기 때문입니다.
이렇게 g(x)를 식으로 만들어보면 직접 적분까지해서 온전한 식으로도 만들 수 있겠지만, 그렇게 까지 할 필요는 없습니다. 어차피 지금 구해야하는 것은 최대, 최소이므로 우리는 g(x)의 그래프를 봐야하고, 그럼 g '(x)가 필요합니다. 따라서 만든 g(x)를 미분하여 g '(x)를 구하고 이것을 바탕으로 g(x)의 개형을 만들어 볼 수 있습니다. 주어진 구간은 0<t<6이므로 이 구간에서 g(x)는 x=3일 때 최댓값을 가짐을 알 수 있습니다.
이 문제에서 두 가지 풀이를 모두 소개시켜 드리는 이유는 간단하지만 중요합니다. 수능에서는 모든 문제를 식으로만 기대어 풀 수는 없습니다. 기본적으로 기하학적인 해석과 직관적인 해석이 중요하며, 그것이 불가능하거나 오히려 식으로만 푸는 것이 더 낫다고 판단될 때 식으로 문제를 푸는 것입니다.
지금 이 문제는 기하학적인 해석과 직관적인 접근이 가능하며, 용이한 문제입니다. 다만, 위에 해설과 영상 해설에서도 언급하지는 않았지만 이렇게만 접근했을 시 찝찝한 부분이 한 포인트 있습니다. 이 부분까지 이야기 하기에는 내용이 길어질 것 같아서 언급하진 않았겠습니다. 다만 이 부분을 해결하기 위해서 들이는 공까지 고려한다면 그냥 식으로만 답을 내는 것이 더 나을 수 있습니다.
식으로 푸는 방법 또한 굉장히 중요한 요소입니다. 사실 제일 중요한 부분은 '식으로 풀 수 있다.'가 아니라 식으로 풀면 가능하겠네? 라는 생각을 가질 수 있냐는 것입니다.
LYC-MATH-HWW 소개
LYC-MATH_HWW는 현장에서 16년간 중고등학생들과 소통하며 강의를 해온 수학 강사입니다. 이제는 단순히 수학이라는 지식을 전달하는 것을 넘어서 수학을 어떻게 공부해야하는지, 수학을 어떻게 가르쳐야 하는지를 강의하고 있습니다. 또한 다년간의 빅데이터를 바탕으로 학생들이 A의 상황에서 어떤 생각을 가지고 있는지 그 뿌리부터 이해하여 근본적인 솔루션을 제공하고 있습니다. 아래는 LYC-MATH가 제공하는 서비스 목록입니다.
1. 100% 커스터마이징 온라인 첨삭.
수학을 공부하며 도움이 필요한 모든 개개인의 사항에 대하여 고객맞춤의 도움을 드리고 있습니다. 서비스는 온라인으로 진행되며, 실시간 온라인 소통 방식 또는 요청하신 내용의 강의 제작 방식으로 진행할 수 있습니다.
2. 수학 공부법 개인 첨삭
현장에서 강의를 하다보면 정말 많은 학생들이 열심히 해도 잘 할 수 없는 방식으로 공부하고 있는 것을 볼 수 있습니다. 수학은 정확히 공부하는, 그리고 생각하는 방법이 있으며, 그 방식으로 반복 훈련하면 금방 습관화시키고 자연스럽게 터득하게 됩니다. 학습자의 상황에 맞춰서 개선해야 하는 부분을 제시하고, 그 부분을 습관화시키기까지 서비스를 진행합니다.
3. 온라인 개인 과외
중고등 학생을 대상으로 필요한 과정에 대한 개인 과외도 진행하고 있습니다.
아래 유튜브 채널 링크를 통해서 운영중인 채널에 올라와 있는 다양한 강의들을 찾아보실 수 있습니다.
또한 네이버 블로그에서 학생들이 남겨진 강의 후기, 공부법 강의 후기 등을 찾아보실 수 있습니다.
또한 기타 궁금하신 사항은 카카오톡 오픈 채팅을 통해서 상담 도와드리고 있으니 편하게 문의 주시면 감사하겠습니다.
| lyc-math 유튜브 채널 | lyc-math 네이버 블로그 | 카카오톡 오픈 채팅 |
'수능 및 평가원 모의평가 기출 해설 > 2025학년도 수능 수학' 카테고리의 다른 글
| 2024학년도 고3 수능 수학 20번 해설 (0) | 2025.03.26 |
|---|---|
| 2024학년도 고3 수능 수학 15번 해설 (0) | 2025.03.21 |
| 2024학년도 고3 수능 수학 14번 해설 (0) | 2025.03.20 |
| 2024학년도 고3 수능 수학 13번 해설 (0) | 2025.03.19 |
| 2024학년도 고3 수능 수학 9번, 10번, 11번 해설 (0) | 2025.03.17 |
| 2025학년도 고3 수능 수학 미적분 30번 해설 (0) | 2025.03.14 |
| 2025학년도 고3 수능 수학 미적분 29번 해설 (0) | 2025.03.13 |
| 2025학년도 고3 수능 수학 미적분 28번 해설 (1) | 2025.03.12 |