
LYC-MATH는 온라인 수업을 기반으로하야 전국의 수험생들을 대상으로 100% 커스터마이징된 첨삭 서비스를 제공합니다. 어디에 질문해야할지 몰랐던 디테일한 질문들, 정확히 내가 궁금한 부분을 긁어줄 수 있는 포인트 강의를 고객님과의 상담을 통해 제공해드리고 있습니다. 글 가장 하단에 카카오톡 문의 채널이 있으니 부담없이 문의주세요!
2025학년도 고3 수능 미적분 27번
문제 소개 - 2025학년도 고3 수능 미적분 27번

- 출제 범위 및 단원 : 미적분 역함수의 미분법
- 문제 닌이도 : 중
- 문제에서 요구하는 교과 개념 : 합성함수의 미분법, 역함수의 미분법, 역함수의 존재 조건
문제 해설 - 2025학년도 고3 수능 미적분 27번


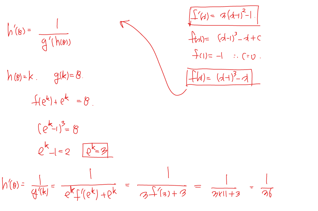
역함수의 미분법과 관련된 문제입니다. 그런데 그 주체는 합성을 해서 주었지요. 즉, 합성함수 미분법을 이용하여 역함수 미분법 계산을 하는 문제라고 볼 수 있습니다. 이때 문제 제일 첫 줄에서 최고차항의 계수가 1인 삼차함수에 반응을 할 수 있어야 합니다. 구체적으로 어떤 반응을 해야 한다는 거냐? '미지수의 개수가 3개인 상태이구나.'라는 반응입니다.
문제 풀이의 시작은 일단 미지수의 개수를 파악하는 것에서 출발하고, 그 이후 내가 만들 수 있는 식의 개수가 몇 개인지를 파악하는 것으로 이어지기 때문입니다.
그 이후 이 문제는 (0, g(0))에서의 접선이 x축이고 라는 말에서 반응을 할 수 있어야 합니다. 두 가지 반응이 나올 수 있는데요. 첫 번째는 g(0)이 0이라는 것입니다. 이것을 이용하기 위하여 문제에 주어진 식에 x=0을 대입하면 f(1)=-1이라는 결과를 얻을 수 있지요. 두 번째는 g '(0)=0이라는 것입니다. 접선이 x축이라는 것은 일단 접점의 y좌표가 0이라는 것과 그때의 기울기가 0이라는 것을 의미하기 때문에 얻을 수 있는 결과이지요. 이제 이것을 이용하여 준식을 미분하여 x=0을 대입하면 f '(1)=-1이라는 것을 알 수 있습니다.
지금부터가 이 문제의 핵심입니다. 3점짜리 문제이긴 하지만 그래도 4점이라고 해도 괜찮은 정도의 문제인 이유입니다. 바로 역함수의 존재 조건에 대한 개념을 건들고 있기 때문입니다. 그래도 지금 이 문제 정도면 양반축에는 속하는 문제입니다. 왜냐하면 '역함수를 가질 때'라는 멘트를 주었기 때문이지요. 이 멘트에서 '아 역함수가 있구나'라고 하고 그냥 아무 생각 없이 역함수 미분법으로 들어갔다면 이제 막히게 될 것입니다.
역함수는 아무 때나 존재하는 것이 아닙니다. 역함수가 존재한다. 역함수를 갖는다. 라는 멘트를 봤을 때는 바로 역함수로 들어가는 것이 아니고, 역함수가 존재하기 위한 조건부터 따져야 합니다. 그럼 역함수가 존재하기 위한 조건으 무엇이냐?
역함수는 일대일대응인 함수에서 존재한다.
역함수의 존재 조건은 일대일대응입니다. 이때 일대일대응이라는 것은 엄밀히 말하면 하나의 x의 값에 대하여 하나의 y의 값만 대응되는 관계를 말합니다. 이것을 조금 더 직관적으로 표현해보면, 임의의 가로선을 그어서 교점이 항상 한 개만 나올 수 있는 함수를 말합니다. 그치만 이러한 일대일대응은 일반적인 표현인 것이고, 우리가 자주 만나게 되는 연속함수에서는 일대일대응을 조금 더 직관적으로 표현해볼 수 있습니다.
연속함수에서 일대일대응이란, 증가만하거나 감소만하는 함수를 말한다.
근데 여기서 증가만하거나 감소만한다는 개념은 도함수의 부호에 대한 얘기로 끌고 갈 수 있습니다. 즉, 이 문제는 g(x)가 역함수를 갖는다는 표현에서 g'(x)의 부호가 변하지 않는다는 것을 이용해야 하는 점이 포인트입니다. 그래서 지금부터 g '(x)의 부호에 관심을 갖게 됩니다. 이때 위에 풀이 사진에서처럼 g '(x)의 부호는 항상 양수라는 것을 알 수 있습니다. 따라서 f '(x)는 -1 이상이라는 이 문제의 핵심 포인트를 얻게 되는 것이지요.
여기서 한 번 더 눈썰미가 들어갑니다. 방금 위에서 f '(1)=-1이라는 것을 얻어냈었던 것이 기억나야 합니다. 그리고 f '(x)는 최고차항이 양수인 이차함수라는 점도 인지가 되어야 합니다. 결국 이차함수의 꼭짓점에 대한 조건이 되고, 위 조건들을 잘 해석해보면 f '(x)의 꼭짓점의 좌표가 (1,~1)이라는 결론을 얻게 되지요. 이로서 f '(x)를 식으로 만들게 됩니다.
그럼 지금부터 부정적분을 이용하여 f(x)의 식을 만들고 마지막 마무리 역함수 미분법을 적용하면 됩니다. 역함수 미분법 공식을 적용하여 답을 내면 됩니다.
일단 문제의 해설은 끝났지만 마지막으로 다시 한 번 강조할 내용이 있습니다. 아까 위에서 이 문제는 그나마 양반이라고 표현한 적이 있는데요.. 이유는 아래와 같습니다.
지금 문제는 그래도 '역함수를 가질 때'라는 표현을 주었습니다. 보통 더 쉽게 주는 표현은 '역함수가 존재할 때'라는 표현이 더 쉽게 주어진 표현입니다. 그치만 이 표현은 사실 안 주어질 수도, 더 애매하게 주어질 수도 있습니다. 대표적인 케이스가 이런 것입니다. 아무런 깜빡이도 키지않고 갑자기 역함수에 대해서 언급하는 것이지요. 뜬금없이 역함수에 대한 언급이 나온다면, 어련히 역함수가 존재하는 것이구나 라고 생각할 수 있어야 합니다. 그러므로 함수가 일대일대응이라는 것도 체크하고 따져봐야 하는 것이지요.
LYC-MATH-HWW 소개
LYC-MATH_HWW는 현장에서 16년간 중고등학생들과 소통하며 강의를 해온 수학 강사입니다. 이제는 단순히 수학이라는 지식을 전달하는 것을 넘어서 수학을 어떻게 공부해야하는지, 수학을 어떻게 가르쳐야 하는지를 강의하고 있습니다. 또한 다년간의 빅데이터를 바탕으로 학생들이 A의 상황에서 어떤 생각을 가지고 있는지 그 뿌리부터 이해하여 근본적인 솔루션을 제공하고 있습니다. 아래는 LYC-MATH가 제공하는 서비스 목록입니다.
1. 100% 커스터마이징 온라인 첨삭.
수학을 공부하며 도움이 필요한 모든 개개인의 사항에 대하여 고객맞춤의 도움을 드리고 있습니다. 서비스는 온라인으로 진행되며, 실시간 온라인 소통 방식 또는 요청하신 내용의 강의 제작 방식으로 진행할 수 있습니다.
2. 수학 공부법 개인 첨삭
현장에서 강의를 하다보면 정말 많은 학생들이 열심히 해도 잘 할 수 없는 방식으로 공부하고 있는 것을 볼 수 있습니다. 수학은 정확히 공부하는, 그리고 생각하는 방법이 있으며, 그 방식으로 반복 훈련하면 금방 습관화시키고 자연스럽게 터득하게 됩니다. 학습자의 상황에 맞춰서 개선해야 하는 부분을 제시하고, 그 부분을 습관화시키기까지 서비스를 진행합니다.
3. 온라인 개인 과외
중고등 학생을 대상으로 필요한 과정에 대한 개인 과외도 진행하고 있습니다.
아래 유튜브 채널 링크를 통해서 운영중인 채널에 올라와 있는 다양한 강의들을 찾아보실 수 있습니다.
또한 네이버 블로그에서 학생들이 남겨진 강의 후기, 공부법 강의 후기 등을 찾아보실 수 있습니다.
또한 기타 궁금하신 사항은 카카오톡 오픈 채팅을 통해서 상담 도와드리고 있으니 편하게 문의 주시면 감사하겠습니다.
| lyc-math 유튜브 채널 | lyc-math 네이버 블로그 | 카카오톡 오픈 채팅 |
'수능 및 평가원 모의평가 기출 해설 > 2025학년도 수능 수학' 카테고리의 다른 글
| 2024학년도 고3 수능 수학 9번, 10번, 11번 해설 (0) | 2025.03.17 |
|---|---|
| 2025학년도 고3 수능 수학 미적분 30번 해설 (0) | 2025.03.14 |
| 2025학년도 고3 수능 수학 미적분 29번 해설 (0) | 2025.03.13 |
| 2025학년도 고3 수능 수학 미적분 28번 해설 (1) | 2025.03.12 |
| 2025학년도 고3 수능 수학 확률과 통계 28번, 29번, 30번 해설 (0) | 2025.03.10 |
| 2025학년도 고3 수능 수학 22번 해설 (0) | 2025.03.06 |
| 2025학년도 고3 수능 수학 21번 해설 (0) | 2025.03.05 |
| 2025학년도 고3 수능 수학 20번 해설 (0) | 2025.03.04 |