
LYC-MATH는 온라인 수업을 기반으로하야 전국의 수험생들을 대상으로 100% 커스터마이징된 첨삭 서비스를 제공합니다. 어디에 질문해야할지 몰랐던 디테일한 질문들, 정확히 내가 궁금한 부분을 긁어줄 수 있는 포인트 강의를 고객님과의 상담을 통해 제공해드리고 있습니다. 글 가장 하단에 카카오톡 문의 채널이 있으니 부담없이 문의주세요!
2025학년도 고3 수능 21번
문제 소개 - 2025학년도 고3 수능 21번

- 출제 범위 및 단원 : 수학2 함수의 극한
- 문제 닌이도 : 중
- 문제에서 요구하는 교과 개념 : 영분의 영꼴의 극한, 정수 조건에 대한 개념
문제 해설 - 2025학년도 고3 수능 21번



적당한 난이도의 아주 좋은 문제입니다. 일단 겉보기에는 삼차함수가 보이긴 하지만 사실 삼차함수에 대한 고2 지식까지는 필요하지도 않은 문제입니다. 고1까지의 지식으로도 충분하지요. 그래서 이 문제는 그냥 고2 친구들도 충분히 생각해 볼 수 있는 함수의 극한 단원까지만 배워도 충분히 풀 수 있는 문제입니다.
함수의 극한을 처음 배울 때 저는 학생들에게 유달리 강조를 많이 하는 한 문장이 있습니다.
극한은... 취해보는 것이 우선이다.
학생들이 함수의 극한을 처음 배울 때 대부분 당연하게도 꼴들에 대해서 배웁니다. 그치만 여기서 정말 안타까운 부분이 각각의 꼴들을 어떻게 다루는지만 배우고 꼴을 어떻게 확인하는지, 더 나아가서 꼴을 확인하는 것이 먼저라는 것을 배우질 못합니다. 이런 부분을 강조하는 것이 강사가 할 일 인데 말이죠.
영분의 영꼴은 어떻게 푸는지.. 무한 빼기 무한은 어떻게 푸는지를 실컷 배우지만 결국 지금 내 눈 앞에 있는 이 식이 영분의 영꼴인지, 무한 빼기 무한 꼴인지 확인하지 못하면 다 쓸모없는 지식이 되는 것이지요. 그리고 극한은 어떤 꼴일지만 알아도 이후에 내가 어떤 풀이를 해야만하고, 또 어떤 풀이들이 예상되는지를 알 수 있습니다.
지금은 함수의 극한에서 배우는 여러 가지 꼴들에 대해서 정리하는 시간은 아니니.. 이 문제의 개념인 영분의 영꼴에 대해서만 정리해보도록 하겠습니다. '영분의 영꼴'은 기본적으로는 '약분해서 극한을 다시 취한다.' 정도로 배우게 됩니다. 하지만 이 이후에 영분의 영꼴에 대해서 반드시 학습하고, 인지해야하는 개념이 있지요.
영분의 영꼴은 반드시 가져야만 하는 인수의 종류와 개수에 대한 정보를 준다.
이것을 조금 더 정제한 표현으로 다시 말하면
영분의 영꼴은 몇 개짜리 영인지에 대한 관심을 가져야 한다.
이 개념을 가지고 위 문제를 보면 바로 나와야하는 반응이 있습니다. 네모 박스 안의 조건은 결국 분모가 0이 되는 순간이
관건이고.. 분모가 0이 되는 순간이 있을텐데, 그 순간에 극한값이 존재한다는 얘기이므로 분자도 0으로 가야한다는 것을 의미합니다. 즉, x=alpha에서 f(x)가 0이 되면 x=2alpha+1에서도 f(x)는 0이어야 합니다.
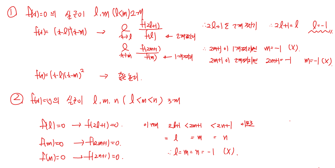
그래서 이 문제는 일단 분모에 있는 f(x)가 0이 되는 순간이 몇 개 인지가 중요한 문제입니다. 그래서 풀이에서는 해가 2개인 순간부터 검토가 들어가지요. 이 순간입니다. 딱 이 순간에 분모가 몇 개짜리 0인지에 대한 개념으로 상황을 분류해 서 접근해야 한다는 것입니다.
구체적인 풀이와 설명은 아래 사진이나 영상에서도 다루니 여기서는 길게 언급하지 않겠습니다. 다만 그 풀이로 가는 과정과 개념을 소개하는 것에 집중하여 봐주십시오.
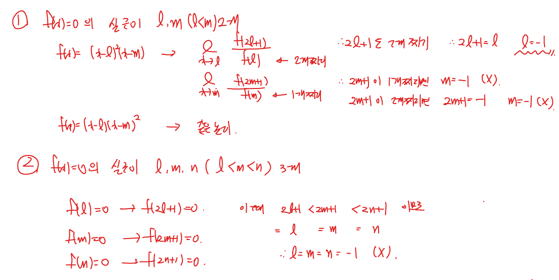
그리고 두 번째 케이스가 삼차방정식이 한 개짜리 근을 3개 가질 때를 생각하는 것입니다. 이 상황을 생각보다 간단하게 정리되는데.. 아래에 풀이처럼 f(x)의 근이 x=l, m, n이라고 햐면 분모가 1개짜리 0이니까 분모도 1개 이상짜리의 0이어야 합니다. 즉, x=l에서 f(x)가 0이므로 x=2l+1에서도 f(x)는 0이어야 합니다.
이 논리는 x=m, x=n일 때도 마찬가지로 적용되므로 f(x)는 x=2l+1, x=2m+1, x=2n+1 세 개의 근을 가져야만 합니다. 이때 l, m, n이 같은 것이 없으므로 위 세 개의 값도 같을 수는 없습니다. 또한 l<m<n으로 설정했으므로 2l+1<2m+1<2n+1 이므로 결국 삼차방정식이 4개 이상의 근을 가질 수는 없기 때문에 2l+1=l 2m+1=m 2n+1=n 이 성립해야 하는데.. 불가능하지요.
결국 상황은 마지막 f(x)의 근이 1개인 상황으로 좁혀지고, 이 때 삼중근은 문제에 주어진 f(x)의 상수항이 4라는 점에서 불가능하기 때문에 f(x)는 실근이 1개, 허근이 2개를 갖는 상황으로 정해집니다. 이때 이 문제의 또 하나의 포인트 개념이 들어갑니다.
문제에 주어진 정수, 자연수 조건은 나로 하여금 두 가지 풀이를 예상케한다.
정확이 어떤 두가지냐.. 첫 번째는 부정방정식으로서 일일이 넣고 찾아보는 것, 두 번째는 부등식의 범위가 나오고, 그 안에 들어 있는 정수들을 생각하는 것 이렇게 두 가지 풀이가 일반적으로 예상됩니다. 그래서 지금 이 문제는 문제 두 번째 줄부터 등장하는 정수 a, b에 반응이 나왔어야 하고 마지막까지 만들어온 상황에서 부등식을 하나 만들 수 있음을 알게 되지요.
삼차방정식의 허근 2개를 가져야하니 인수분해했을 때의 이차식 부분의 판별식이 음수라는 것으로 부등식을 하나 만들게 되니 이 이후로는 자연스럽게 생각이 만들어 질 수 있습니다. 이 문제는 생각보다 정말 많이 쓰이는 실전 수능 개념이 2개나 등장한 문제입니다. 마지막으로 한 번 더 언급해드리니 반드시 숙지하시길 바라겠습니다.
영분의 영꼴은 몇 개짜리 0인지에 대한 관심을 가져야 한다.
문제에 주어진 정수, 자연수 조건은 나로 하여금 두 가지 풀이를 예상케 한다.
LYC-MATH-HWW 소개
LYC-MATH_HWW는 현장에서 16년간 중고등학생들과 소통하며 강의를 해온 수학 강사입니다. 이제는 단순히 수학이라는 지식을 전달하는 것을 넘어서 수학을 어떻게 공부해야하는지, 수학을 어떻게 가르쳐야 하는지를 강의하고 있습니다. 또한 다년간의 빅데이터를 바탕으로 학생들이 A의 상황에서 어떤 생각을 가지고 있는지 그 뿌리부터 이해하여 근본적인 솔루션을 제공하고 있습니다. 아래는 LYC-MATH가 제공하는 서비스 목록입니다.
1. 100% 커스터마이징 온라인 첨삭.
수학을 공부하며 도움이 필요한 모든 개개인의 사항에 대하여 고객맞춤의 도움을 드리고 있습니다. 서비스는 온라인으로 진행되며, 실시간 온라인 소통 방식 또는 요청하신 내용의 강의 제작 방식으로 진행할 수 있습니다.
2. 수학 공부법 개인 첨삭
현장에서 강의를 하다보면 정말 많은 학생들이 열심히 해도 잘 할 수 없는 방식으로 공부하고 있는 것을 볼 수 있습니다. 수학은 정확히 공부하는, 그리고 생각하는 방법이 있으며, 그 방식으로 반복 훈련하면 금방 습관화시키고 자연스럽게 터득하게 됩니다. 학습자의 상황에 맞춰서 개선해야 하는 부분을 제시하고, 그 부분을 습관화시키기까지 서비스를 진행합니다.
3. 온라인 개인 과외
중고등 학생을 대상으로 필요한 과정에 대한 개인 과외도 진행하고 있습니다.
아래 유튜브 채널 링크를 통해서 운영중인 채널에 올라와 있는 다양한 강의들을 찾아보실 수 있습니다.
또한 네이버 블로그에서 학생들이 남겨진 강의 후기, 공부법 강의 후기 등을 찾아보실 수 있습니다.
또한 기타 궁금하신 사항은 카카오톡 오픈 채팅을 통해서 상담 도와드리고 있으니 편하게 문의 주시면 감사하겠습니다.
| lyc-math 유튜브 채널 | lyc-math 네이버 블로그 | 카카오톡 오픈 채팅 |
'수능 및 평가원 모의평가 기출 해설 > 2025학년도 수능 수학' 카테고리의 다른 글
| 2025학년도 고3 수능 수학 미적분 28번 해설 (1) | 2025.03.12 |
|---|---|
| 2025학년도 고3 수능 수학 미적분 27번 해설 (0) | 2025.03.11 |
| 2025학년도 고3 수능 수학 확률과 통계 28번, 29번, 30번 해설 (0) | 2025.03.10 |
| 2025학년도 고3 수능 수학 22번 해설 (0) | 2025.03.06 |
| 2025학년도 고3 수능 수학 20번 해설 (0) | 2025.03.04 |
| 2025학년도 고3 수능 수학 15번 해설 (0) | 2025.03.03 |
| 2025학년도 고3 수능 수학 14번 해설 (0) | 2025.02.28 |
| 2025학년도 고3 수능 수학 12번, 13번 해설 (0) | 2025.02.28 |