
2025학년도 고3 수능 15번
문제 소개 - 2025학년도 고3 수능 15번

- 출제 범위 및 단원 : 수학2 미분가능성
- 문제 닌이도 : 중
- 문제에서 요구하는 교과 개념 : 미분가능의 기본기와 방정식의 실근의 의미
문제 해설 - 2025학년도 고3 수능 15번



난이도는 중상이라고 적어 놓아지만 사실 중에 가까운 문제가 아닐까 생각합니다. 요근래 수능의 트랜드는 최상의 난이도의 문제는찾아보기 힘들고, 상 문제가 하나 내지는 두 개 정도 들어있으며, 중이나 중상 위주의 문제로 구성하는 것이 트랜드 입니다. 따라서 수능을 준비하는 학생이라면 엄청나게 어려운 문제를 풀기 위해 준비하기 보다는 무난한 수준의 문제들을 빠르고 정확하게 풀어보는 연습을 하는 것이 전략적으로 더 도움이 될 것 입니다.
기본적으로 문제 첫 줄에서부터 구체적인 차수를 알려주는 다항함수 f(x)는 아주 중요한 정보입니다. 이와 비교해서 차수를 알려주지 않고 그냥 '함수 f(x)'라고만 알려주는 경우가 있는데 이 경우는 다음의 두 가지로 대응합니다.
f(x)를 구체적으로 식으로 만들 필요가 없거나. f(x)의 차수를 주어진 정보를 이용하여 직접 찾아서 식으로 만들거나
가볍게 흘릴 수 있는 부분이지만 사실 수험생 입장에서는 굉장히 기초적으로 중요한 수능 개념입니다. 위에 밑즐 친 내용은 절대 어려운 내용은 아니지만 '물어봤을 때', '그 상황이 발생했을 때' 바로 대응할 수 있게 공부하지 않으면 반드시 발목을 잡히게 될 것 입니다. 따라서 지금의 문제는 '이차함수'라고 명시를 해준 것을 이용하여 바로 식으로 만들어서 진입할 수 있습니다.
그리고 아주 가벼운 조건인 (가) 조건이 있네요. (가) 조건은 수험생이라면 바로 대응했을 조건입니다. 미분가능성에 대한 얘기이니, 첫 째로는 연속성에 대한 얘기 둘 째로는 좌미분계수와 우미분계수에 대한 얘기 를 적용하면 되는 것이지요.
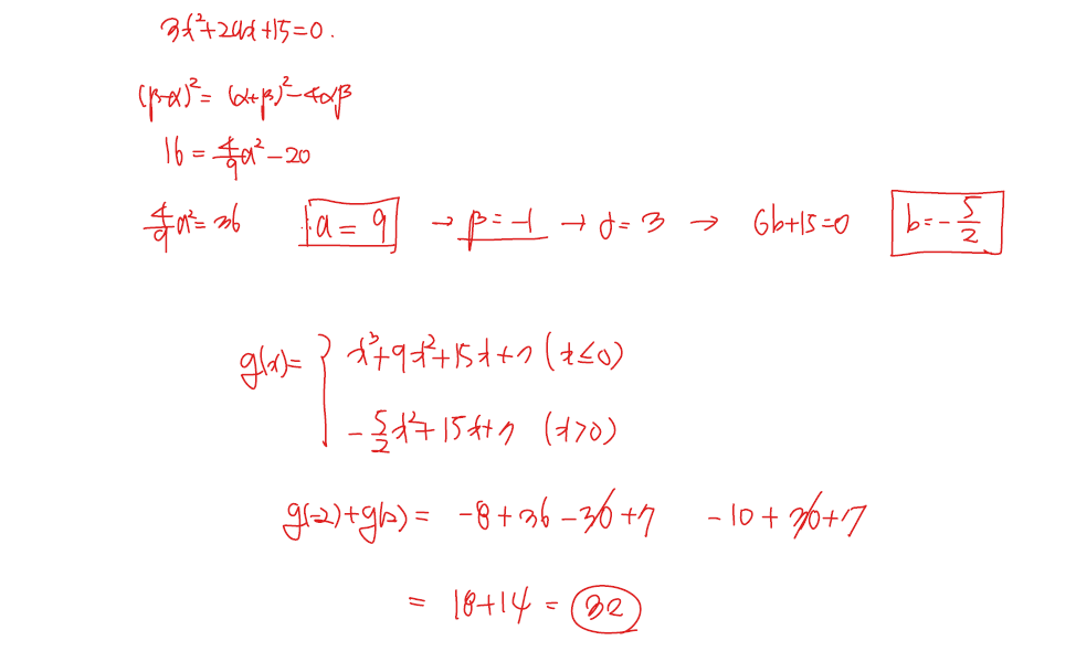
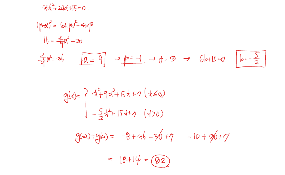
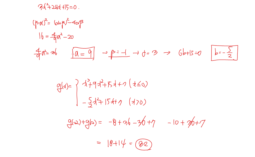
중요한 것은 (나) 조건 입니다. 여기서 여러분은 고등학교 3년 내내의 수학의 꽃인 개념을 적용하는 것입니다.
방정식의 실근은 교점의 x좌표와 같다.
조금 더 구체적으로 말해드리자면 방정식 f(x)=g(x)의 실근은 두 그래프 y=f(x)와 y=g(x)의 교점의 x좌표와 같다는 개념이 됩니다. 따라서 (나) 조건에서 말하는 방정식 g'(x) g'(x-4)=0의 실근이라는 것은 y=g'(x)와 y=g'(x-4)가 x축과 만나는서로 다른 교점의 개수를 의미하게 됩니다. 그러니 지금부터 g'(x)의 그래프를 생각하게 되는 것이지요.
이때 우리는 g'(x)의 근의 개수에 대하여 생각해보게 됩니다. 여기서 중요한 것은 g'(x)의 근의 개수는 g'(x-4)의 근의 개수와
동일하다는 것인데, 그 이유는 두 그래프는 x축으로 4만큼의 평행이동 관계이기 때문이지요. 따라서 g'(x)의 근의 개수를 1개라고 한다면 (나) 조건에 부족하게 되고, 2개라고 한다면 문제의 가장 첫 줄에서 나온 a가 3루트5가 아니라는 조건에 걸리게 됩니다. 따라서 g'(x)의 근은 3개인 것으로 확정이고 그렇다면 g'(x-4)의 근도 3개가 되는데 여기서 두 그래프를 적당히 잘 겹쳐서 서로 다른 근은 4개가 되도록 만드는 것이 문제 풀이의 핵심이 되겠습니다.
이 이후로는 여러분이 열심히 추론한 그 그래프가 되도록 식에 조건을 적용하는 과정이 남아 있습니다. 여기도 상당히 중요한 부분인데요 그래프 추론을 열심히 했지만 이제 그 그림이 되기 위해서 어떤 조건을 적용해야 하는지를 모른다면, 결국 답을 내는 것에는 아무 도움이 되지를 않습니다.
그래서 아래 풀이에서 처럼 결국은 알파와 베타 사이의 간격이 4, 베타와 감마 사이의 간격이 4라는 것이 조건이고, 이 조건이 되도록 하는 것은 g'(x)의 위에 식 부분의 두 근의 차가 4라는 것과, 그렇게 해서 만들어진 감마가 g'(x)의 아래 식 부분의 근이라는 것을 이용하는 것입니다.
LYC-MATH-HWW 소개
LYC-MATH_HWW는 현장에서 16년간 중고등학생들과 소통하며 강의를 해온 수학 강사입니다. 이제는 단순히 수학이라는 지식을 전달하는 것을 넘어서 수학을 어떻게 공부해야하는지, 수학을 어떻게 가르쳐야 하는지를 강의하고 있습니다. 또한 다년간의 빅데이터를 바탕으로 학생들이 A의 상황에서 어떤 생각을 가지고 있는지 그 뿌리부터 이해하여 근본적인 솔루션을 제공하고 있습니다. 아래는 LYC-MATH가 제공하는 서비스 목록입니다.
1. 100% 커스터마이징 온라인 첨삭.
수학을 공부하며 도움이 필요한 모든 개개인의 사항에 대하여 고객맞춤의 도움을 드리고 있습니다. 서비스는 온라인으로 진행되며, 실시간 온라인 소통 방식 또는 요청하신 내용의 강의 제작 방식으로 진행할 수 있습니다.
2. 수학 공부법 개인 첨삭
현장에서 강의를 하다보면 정말 많은 학생들이 열심히 해도 잘 할 수 없는 방식으로 공부하고 있는 것을 볼 수 있습니다. 수학은 정확히 공부하는, 그리고 생각하는 방법이 있으며, 그 방식으로 반복 훈련하면 금방 습관화시키고 자연스럽게 터득하게 됩니다. 학습자의 상황에 맞춰서 개선해야 하는 부분을 제시하고, 그 부분을 습관화시키기까지 서비스를 진행합니다.
3. 온라인 개인 과외
중고등 학생을 대상으로 필요한 과정에 대한 개인 과외도 진행하고 있습니다.
아래 유튜브 채널 링크를 통해서 운영중인 채널에 올라와 있는 다양한 강의들을 찾아보실 수 있습니다.
또한 네이버 블로그에서 학생들이 남겨진 강의 후기, 공부법 강의 후기 등을 찾아보실 수 있습니다.
또한 기타 궁금하신 사항은 카카오톡 오픈 채팅을 통해서 상담 도와드리고 있으니 편하게 문의 주시면 감사하겠습니다.
| lyc-math 유튜브 채널 | lyc-math 네이버 블로그 | 카카오톡 오픈 채팅 |
'수능 및 평가원 모의평가 기출 해설 > 2025학년도 수능 수학' 카테고리의 다른 글
| 2025학년도 고3 수능 수학 미적분 27번 해설 (0) | 2025.03.11 |
|---|---|
| 2025학년도 고3 수능 수학 확률과 통계 28번, 29번, 30번 해설 (0) | 2025.03.10 |
| 2025학년도 고3 수능 수학 22번 해설 (0) | 2025.03.06 |
| 2025학년도 고3 수능 수학 21번 해설 (0) | 2025.03.05 |
| 2025학년도 고3 수능 수학 20번 해설 (0) | 2025.03.04 |
| 2025학년도 고3 수능 수학 14번 해설 (0) | 2025.02.28 |
| 2025학년도 고3 수능 수학 12번, 13번 해설 (0) | 2025.02.28 |
| 2025학년도 고3 수능 수학 9번, 10번, 11번 해설 (0) | 2025.02.26 |